ধর্ম ও অজাচার- রক্ত সম্পর্কীয় বিবাহ এবং যৌনতা প্রসঙ্গে
Table of Contents
- 1 মুখবন্ধ
- 2 ভূমিকা
- 3 বহুল ব্যবহৃত কিছু শব্দের সংজ্ঞা
- 4 আত্মীয়তার সম্পর্কের মাত্রা নির্ণয়ের পদ্ধতি
- 5 বিভিন্ন প্রকার বংশগত রোগের উদাহরণ
- 6 রক্ত সম্পর্কীয় বিবাহ ও আন্তপ্রজননে সমস্যা হবার কারণ
- 7 শারীরিক, মানসিক ও জিনগত সমস্যা
- 8 ইতিহাস ও রক্ত সম্পর্কীয় বিবাহ প্রথা
- 9 হিন্দু ধর্মের রক্ত সম্পর্কীয় যৌনতা
- 10 বাইবেলে রক্ত সম্পর্কীয় যৌনতা
- 11 ইসলামে রক্ত সম্পর্কীয় যৌনতা
- 12 বিশ্বব্যাপি প্রাদুর্ভাব
- 13 উপসংহার
- 14 পরিশিষ্ট: Mendel প্রবর্তিত বংশগতি তত্ত্ব
মুখবন্ধ
২০১৭ সাল মহীশুর (Mysore অথবা Mysuru) রাজ পরিবারের জন্য একটি অত্যন্ত গুরুত্বপূর্ণ সাল। এই সালে প্রায় চারশ বছর পর রাজ সিংহাসনে অভিষিক্ত কোন রাজার ঔরসে একটি পুত্র সন্তান জন্ম নেয়। এর আগে পর্যন্ত রাজ সিংহাসনে অভিষিক্ত কোন রাজার পুত্র সন্তান জন্মালেও তারা হত স্বল্পায়ু, মানসিক বিকারগ্রস্ত, বিকলাঙ্গ অথবা কোন জটিল জন্মগত রোগে আক্রান্ত; এক কথায় সিংহাসনে বসার অযোগ্য। এই ঘটনার কারণ হিসাবে জনসাধারণের মধ্যে প্রচলিত ছিল বহু কল্পকাহিনী এবং এক অত্যাচারিত নারীর দ্বারা প্রদত্ত অভিশাপের রূপকথার গল্প। কিন্তু বৈজ্ঞানিক দৃষ্টিভঙ্গি থেকে বিচার করলে এই ঘটনার কার্যকারণ সহজেই ব্যাখ্যা করা যায় এবং আর খুঁজে পাওয়া যায় এই নিদারুন সমস্যা থেকে উত্তরণের পথ। বহু রাজবংশেই এ এক বহুল প্রচলিত প্রথা যে, রক্তের বিশুদ্ধতা বজায় রাখার জন্য রাজপরিবারের সদস্যরা পরিবারের মধ্যেই বিবাহ বন্ধনে আবদ্ধ হন। কিন্তু এই পদ্ধতিতে রাজবংশের রক্তের ধারা বিশুদ্ধ থাকলেও, নিকটাত্মীয়ের মধ্যে বিবাহের ফলে পরবর্তী প্রজন্মের মধ্যে নানা রকম জন্মগত রোগের সম্ভাবনা বাড়তে থাকে। আর বহুদিন ধরে এই ভাবেই নিকটাত্মীয়ের মধ্যে বিবাহের ফলে Genetic Variation কমে যাবার জন্য পরবর্তী প্রজন্ম ধীরে ধীরে বিভিন্ন রোগ অসুখের কবলে পতিত হয়।
ঠিক এই কারণেই যখন মহীশুরের বর্তমান রাজা যদুবীর (Yaduveer Krishnadatta Chamaraja) প্রচলিত প্রথা ভেঙ্গে বিবাহ করেন যোধপুরের রাজকুমারী তৃষিকা দেবী (Trishika Kumari Devi)-কে তখনই সেই চারশ বছর ধরে চলে আসা শাপমোচন হয়। তৃষিকা দেবীর কোল আলো করে জন্ম হয় একটি ফুটফুটে শিশুর।
শুধু কি এই একটাই উদাহরণ? না, এমন অনেক আছে। স্পেনের Habsburg সাম্রাজ্যেও নিকটাত্মীয়ের মধ্যে বিবাহের ফলে পরবর্তী প্রজন্মে জিনগত সমস্যার উদাহরণ পাওয়া যায় (Alvarez, Ceballos et al. 2009) [1]। যে সমস্ত মানব গোষ্ঠীতে, সমাজে বা সম্প্রদায়ে নিকটাত্মীয়ের মধ্যে বিবাহের রীতি প্রচলিত আছে তাদের মধ্যেও এই রকম নানা রকম জন্মগত রোগ ব্যাধি দেখা যায়। উল্লেখ্য, ১৮৯১ সালে প্রকাশিত ‘দ্য হিস্ট্রি অব হিউম্যান ম্যারেজ’ বইতে লেখক ওয়েস্টারমার্ক বেশ ভালভাবেই প্রমাণ করেছেন, শৈশবের ঘনিষ্ঠতায় রক্ত-সম্পর্কের মধ্যে যৌনাবেগ নষ্ট হয়ে এক ধরণের নিস্পৃহতা তৈরি হয় [2]। বিবর্তন এই ক্ষেত্রে একটি গুরুত্বপূর্ণ ভূমিকা পালন করে। তবে তারপরেও, বিভিন্ন সমাজে এখনো এর প্রাদুর্ভাব দেখতে পাওয়া যায়। তাই রক্ত সম্পর্কীয় বিবাহ বা যৌনতা কেন নিরুৎসাহিত করা উচিত, সেই সম্পর্কে পরিষ্কার ধারণা থাকা আবশ্যক। এই লেখাটিতে সেই সব আলোচনাই করা হবে, যা আধুনিক বৈজ্ঞানিক গবেষণাতে পাওয়া গেছে। আশাকরি পাঠকগণ লেখাটি পড়বেন এবং যাচাই করে দেখে নিজ সিদ্ধান্ত গ্রহণের ক্ষেত্রে লেখাটি সহযোগিতা করবে।
ভূমিকা
জন্মসূত্রে আত্মীয়তা সম্পর্কে আবদ্ধ (অর্থাৎ এক নিকট সাধারণ পূর্বপুরুষ থেকে উৎপন্ন) বা রক্ত সম্পর্কীয় প্রাণীদের সঙ্গমের মাধ্যমে অপত্য উৎপাদন পদ্ধতিকে বলা হয় ‘Inbreeding’ অথবা ‘আন্তঃপ্রজনন’ বা ‘আন্তর্জনন’।
রক্তের সম্পর্ক আছে এমন নিকট আত্মীয় বৈবাহিক সম্পর্কে আবদ্ধ হলে তাকে ‘Consanguineous marriage’ বা রক্ত সম্পর্কীয় বিবাহ বলা হয়। রক্ত সম্পর্কীয় বিবাহ বা সঙ্গম হল সেই বিবাহ বা যৌনসঙ্গম যেখানে কোন যুগল প্রথম থেকে চতুর্থ মাত্রার সম্পর্ক যুক্ত (Table 1 আত্মীয়তার মাত্রা এবং উদাহরণ)।
| আত্মীয়তার মাত্রা | আত্মীয়তা সম্পর্কের উদাহরণ | আত্মীয়তা সম্পর্ক গুনাঙ্ক |
|---|---|---|
| প্রথম মাত্রা | ভাই, বোন, পিতা, মাতা, কন্যা, পুত্র | 1/2 |
| দ্বিতীয় মাত্রা | পিতামহ, পিতামহী, মাতামহ, মাতামহী, নাতি, নাত্নি, ভ্রাতুষ্পুত্র, ভ্রাতুষ্পুত্রী, ভাগিনেয়; ভগ্নীপুত্র, কাকা, জ্যাঠা, মামা ইত্যাদি | 1/4 |
| তৃতীয় মাত্রা | প্রপিতামহ, প্রনাতি, খুড়তুত এবং মামাতো ভাই বা বোন ইত্যাদি | 1/8 |
| চতুর্থ মাত্রা | প্রপ্রপিতামহ, প্রপ্রনাতি, খুড়তুত এবং মামাতো ভাই বা বোনের সন্তান | 1/16 |
পৃথিবী জুড়ে দ্বিতীয় মাত্রার নিকটাত্মীয়দের মধ্যে বিবাহ অনেক দেশেই একটি সামাজিকভাবে গ্রহণযোগ্য এবং বহুল প্রচলিত একটি রীতি। কিন্তু, নিকটাত্মীয় সম্পর্কযুক্ত হলে একই ধরণের জিনের বিকল্প (বৈচিত্রতা হীন) বহন করার সম্ভাবনা অনেক বেশি থাকে। আর সেই কারণে, যে সমস্ত জনগোষ্ঠীতে এই ধরণের বিবাহের বহুল প্রচলন, সেখানে autosomal recessive genetic disorders (গুণগত প্রচ্ছন্ন জন্মগত রোগ)-এর প্রাদুর্ভাব অনেক বেশি পরিলক্ষিত হয় (Bundey and Alam 1993 [3], Stoltenberg, Magnus et al. 1997[4], Salway, Ali et al. 2016[5])। এই জাতীয় রোগব্যাধি (recessive disorders) নবজাতক শিশুর দুর্বলতা এবং মৃত্যুর হার আধিক্যের কারণ হয়ে দাঁড়ায়। বিভিন্ন পরীক্ষা ও পর্যবেক্ষণে দেখা যায় যে, সমগোত্রীয় বিবাহ বিভিন্ন জন্মগত রোগ ও জন্মগত বিকলাঙ্গ শিশুর জন্মের সম্ভাবনা প্রায় দ্বিগুন বাড়িয়ে দেয়। সমগোত্রীয় বিবাহ এবং আন্তঃপ্রজনন বিভিন্ন জন্মগত বিকৃতি (Congenital anomalies), অটোসোমাল রোগসমূহ (Autosomal recessive disease)-এর ঝুঁকি বহু মাত্রায় বৃদ্ধি তো করেই, তার সাথে বেশীরভাগ ক্ষেত্রেই এই ঝুঁকি পরবর্তী একাধিক প্রজন্ম পর্যন্ত অব্যহত থাকে। প্রথম প্রজন্মে (First offspring) এর কোন প্রভাব দেখা না গেলেও পরবর্তী প্রজন্মে বিরূপ প্রভাব ফেলার সম্ভাবনাও বৃদ্ধি করে (Islam 2013) [6]।
অন্যদিকে গোত্রের বর্হিভূত বিবাহে হলে যেহেতু সন্তান দুটো আলাদা gene pool থেকে gene পায়, তাই বংশগত রোগ তার হওয়ার সম্ভাবনা অনেক কমে যায়। অনেক ক্ষেত্রে তারা কোন ত্রুটিপূর্ণ gene-এর ধারক (Carrier) হলেও পরবর্তী প্রজন্মে তা হারিয়ে যায় (Islam 2013)[7]।
সমগোত্রীয় বিবাহ হাজার হাজার বছর ধরে বিভিন্ন জনগোষ্ঠীতে বহুল প্রচলিত একটি রীতি (Fareed and Afzal 2014)[8]। বর্তমানে প্রায় ১২০ কোটি মানুষ সমগোত্রীয় বিবাহ বন্ধনে আবদ্ধ (Fareed and Afzal 2017)[9]। ইতিহাস থেকেও দেখা যায় এই সমগোত্রের বিবাহ এবং তার বিরূপ প্রভাবের বহু উদাহরণ। বর্তমান সময়েও পৃথিবীর জনসংখ্যার এক বড় অংশের মধ্যে সমগোত্রীয় বিবাহ সংঘটিত হয় বা তারা এই বিবাহকে অনুমোদন দেয় (Bittles 2001[10], Anwar, Khyatti et al. 2014[11])।
বহুল ব্যবহৃত কিছু শব্দের সংজ্ঞা
- Chromosome (ক্রোমোসোম): কোষের নিউক্লিয়াসের অন্তর্ভুক্ত দণ্ডাকৃতি বা সুতার ন্যায় বস্তু যা DNA বহন করে। (any of the rod-shaped or threadlike DNA-containing structures of cellular organisms that are located in the nucleus of eukaryotes, are usually ring-shaped in prokaryotes (such as bacteria), and contain all or most of the genes of the organism)
- Gene (জিন): ক্রোমোসমের অন্তর্ভুক্ত DNA বা RNA-এর মধ্যে অবস্থিত নির্দিষ্ট ক্রমে সজ্জিত nucleotides এর বিন্যাস, বংশগতির কার্যগত একক, বংশগতির ধারক ও বাহক, বিভিন্ন বংশগত বৈশিষ্টের নিয়ন্ত্রক। (a specific sequence of nucleotides in DNA or RNA that is located usually on a chromosome and that is the functional unit of inheritance controlling the transmission and expression of one or more traits by specifying the structure of a particular polypeptide and especially a protein or controlling the function of other genetic material)
- Allele (অ্যালিল): একই বৈশিষ্ট বহনকারী জিনের ভিন্নরূপ। (any of the alternative forms of a gene that may occur at a given locus)
- Autosomal chromosome: লিঙ্গ নির্ধারক ক্রোমোসোম ব্যাতিত অন্যান্য ক্রোমোসোম, যা অন্যান্য শারীরবৃত্তীয় ক্রিয়া ও বৈশিষ্ট নির্ধারণ করে। (a chromosome other than a sex chromosome)
- Locus (অঞ্চল): কোন একটি নির্দিষ্ট gene বা allele-এর ক্রোমোসোমে নির্দিষ্ট অবস্থান (the position in a chromosome of a particular gene or allele)
- Autosomal dominant: গুণগত প্রকট বৈশিষ্ট
- Autosomal recessive: গুণগত প্রচ্ছন্ন বৈশিষ্ট
- Heterozygous (বিজাতিয়): কোন জীব বংশানুক্রমে পিতা মাতা থেকে একটি নির্দিষ্ট জিনের জন্য ভিন্ন ভিন্ন allele বা প্রতিলিপি লাভ করে (Heterozygous refers to having inherited different forms of a particular gene from each parent.)
- Homozygous (সমজাতীয়): কোন জীব বংশানুক্রমে পিতা মাতা থেকে একটি নির্দিষ্ট জিনের জন্য একই allele বা প্রতিলিপি লাভ করে (Homozygous is a genetic condition where an individual inherits the same alleles for a particular gene from both parents.)
- Coefficient of inbreeding (আন্তঃপ্রজনন গুনাঙ্ক): একটি নির্দিষ্ট জীবের একক পূর্বপুরুষ থেকে থেকে কোনও নির্দিষ্ট locus বা gene-এর উভয় অ্যালিল উত্তরাধিকার সূত্রে প্রাপ্ত হওয়ার সম্ভাবনা। (Coefficient of inbreeding refers to the probability that an individual inherited both alleles of a particular locus / gene from a single ancestor)। গুণাঙ্ক নির্ণয়ের জন্য নিম্নোক্ত সুত্র ব্যাবহার করা যায়:
F=(1/2)n*1 , যেখানে n আত্মীয়তা সম্পর্কের মাত্রা।
| সম্পর্ক | সাধারণ Allele-এর অনুপাত | F |
| Parent–offspring | 1/2 | 1/4 |
| Brother–sister | 1/2 | 1/4 |
| Half sibs | 1/4 | 1/8 |
| Uncle–niece, aunt–nephew | 1/4 | 1/8 |
| First cousins | 1/8 | 1/16 |
| Double first cousins | 1/4 | 1/8 |
| Half first cousins | 1/16 | 1/32 |
| First cousins once removed | 1/16 | 1/32 |
| Second cousins | 1/32 | 1/64 |
| Second cousins once removed | 1/64 | 1/128 |
| Third cousins | 1/128 | 1/256 |
- Coefficient of relatedness (আত্মীয়তা সম্পর্ক গুণাঙ্ক): দুই সংশ্লিষ্ট ব্যক্তি তাদের সাধারণ পূর্বপুরুষ থেকে একক লোকাস / জিনের একটি নির্দিষ্ট allele উত্তরাধিকার সূত্রে প্রাপ্ত হবার সম্ভবনা। (Coefficient of relatedness refers to probability that two related individuals have inherited a particular allele of the single locus / gene from their common ancestor (such allele is referred to as IBD – identical by descent).) গুণাঙ্ক নির্ণয়ের জন্য নিম্নোক্ত সুত্র ব্যাবহার করা যায়:
r=(1/2)n , যেখানে n আত্মীয়তা সম্পর্কের মাত্রা।
- Inherited Diseases (উত্তরাধিকারসূত্রে প্রাপ্ত রোগ): autosomal gene বাহিত রোগ, যা প্রচ্ছন্ন বা প্রকট হতে পারে। (Mendel identified two patterns of inheritance of traits which he explained as being due to some alleles being dominant while others are recessive, explained by his Laws of Inheritance. The patterns of inheritance were seen to only be accurate for autosomes and not genes carried on the sex chromosomes therefore diseases inherited in a manner true to either of the patterns are referred to as autosomal dominant or autosomal recessive.)
- Phenotype: কোন জীবের বাহ্যিক প্রকট বৈশিষ্ট
- Genotype: কোন জীবের gene-গত বৈশিষ্ট
- Genetic disorder (জিন বাহিত রোগ): জিন পরিবর্তনের ফলে সংঘটিত ব্যাধি (A condition caused by mutations in one or more genes is called a genetic disorder.)
আত্মীয়তার সম্পর্কের মাত্রা নির্ণয়ের পদ্ধতি

এই ছবিতে যে Table দেখানো হয়েছে তার দ্বারা আত্মীয়তা সম্পর্কের ‘মাত্রা’ নির্ণয় করা যায়। সম্পর্কের মাত্রা নির্ধারণের পদ্ধতি হোল, এই table-এ যেখানে ‘নিজের নাম’ লেখা আছে, সেখানে নিজের নাম বসাতে হবে। আর যে ব্যক্তির সাথে সম্পর্কের মাত্রা নির্ধারণ করতে হবে তার নাম বসবে তার সাথে সম্পর্ক অনুযায়ী বাকি যে কোন একটি ঘরে। সেই ঘরের সাথে একটি সংখ্যা দেওয়া আছে। সেই সংখ্যাই নিকটাত্মীয়তার সম্পর্কের মাত্রা। এই মাত্রা যত কম হবে আন্তঃপ্রজনন গুণাঙ্ক ও আত্মীয়তা সম্পর্ক গুণাঙ্কের মান তত বেশী হবে। আর তার সাথে বাড়বে পরবর্তী প্রজন্মে বিভিন্ন বংশগত রোগের সম্ভাবনা।
বিভিন্ন প্রকার বংশগত রোগের উদাহরণ
| Autosomal Recessive | Autosomal Dominant | X linked Recessive | X linked Dominant | Imprinting | Mitochondrial | Multifactorial |
|---|---|---|---|---|---|---|
| Albanism | Osteogenesis imperfecta | Hemophilia A | Vitamin D Resistant Rickets | Angelman Syndrome | Leber’s hereditary optic neuropathy | Crohn’s Disease |
| Sickle Cell Anemia | Achondroplasia | Hemophilia B | Incontinentia Pigmenti | Prader-Willi Syndrome | Diabetes mellitus and deafness | Autism |
| Cystic Fibrosis | Huntington’s Disease | X linked Colour Blindness | Rett Syndrome | Diabetes Mellitus | ||
| Phenylketonuria | Familial Hypercholesterolemia | Duchenne Muscular Dystrophy |
রক্ত সম্পর্কীয় বিবাহ ও আন্তপ্রজননে সমস্যা হবার কারণ
মেন্ডেলের বংশগতি পরীক্ষা থেকে এই সিদ্ধান্তে আসা যায় যে, জীবের বিভিন্ন বৈশিষ্ট্য বহনকারী gene-এর ভিন্ন ভিন্ন প্রতিলিপি বা allele থাকতে পারে। Gene -এর ভিন্ন ভিন্ন প্রতিলিপিগুলি একই বৈশিষ্টের ভিন্ন ভিন্ন গুণ বহন করে, যার মধ্যে কোনটি প্রকট গুণ, কোনটি প্রচ্ছন্ন গুণ। এই গুনগুলি gene দ্বারা বংশ পরম্পরায় এক প্রজন্ম থেকে পরবর্তী প্রজন্মে বাহিত হয়। একই জীবে কোন প্রকট গুণ বহনকারী allele এর সাথে যদি প্রচ্ছন্নগুণ বহনকারী gene এর সমন্বয় ঘটে তাহলে, প্রকট গুণটিই প্রাধান্য পায়। প্রচ্ছন্ন গুনটি প্রকাশ না পেলেও নষ্ট হয়ে যায় না। জননকোষ তৈরি হবার সময় এরা আবার আলাদা আলাদা হয়ে যায়। তার ফলে, উভয় allele-এর পরবর্তী প্রজন্মে সঞ্চারিত হবার সম্ভাবনা সমান থাকে। জীবের জীবদ্দশায় বিভিন্ন কারণে এই gene এর মধ্যে বিভিন্ন রকমের পরিবর্তন ঘটতে পারে। এই পরিবর্তনকে mutation বা পরিব্যাক্তি বলা হয়। Mutation এর মাধ্যমে একই gene এর বিভিন্ন প্রিতিলিপি সৃষ্টি হতে পারে। অধিকাংশ mutation -ই নিরপেক্ষ, অর্থাৎ পরিবর্তনের ফলে জীবের বৈশিষ্টের উপর কোন প্রভাব পড়ে না। কিন্তু কিছু কিছু ক্ষেত্রে mutation -এর ফলে ক্ষতিকারক প্রভাব পড়ে। অর্থাৎ এই gene দ্বারা সংঘটিত বৈশিষ্টগুলি জীবের স্বাভাবিক প্রক্রিয়া বিঘ্নিত করে অথবা কোন দুরারোগ্য ব্যাধির কারণ হয়। দেখা যায়, কোন mutation এর নেতিবাচক বা ক্ষতিকারক প্রভাব যত বেশি, সেই গুনটির প্রচ্ছন্ন হবার সম্ভাবনাও তত বেশি থাকে (Huber, Durvasula et al. 2018)[12]। কিছু কিছু ক্ষেত্রে এই mutation এত বেশি ক্ষতিকারক যে তারা একটি ভ্রূণের স্বাভাবিক বৃদ্ধি ব্যাহত হয় বা সেই ভ্রূণটি সফল ভাবে জীবিত থাকতে পারে না। সমস্ত জীবের মধ্যে এই mutation প্রক্রিয়া অবিরত চলতে থাকে। ক্ষতিকারক gene-গুলি প্রাকৃতিক নির্বাচনের মাধ্যমে জীবগোষ্ঠী থেকে নির্মূল হয়ে যেতে পারে কেবল তখনই যখন একটি উপযুক্ত এবং সুসংহত allele প্রকট হয়ে ক্ষতিকারক allele এর প্রভাবকে প্রচ্ছন্ন করে রাখে।
কোন এক নিকট সাধারণ পূর্বপুরুষ থাকার কারণে, আন্তঃপ্রজননের ফলে সৃষ্ট অপত্যে পিতা ও মাতা উভয়পক্ষ থেকেই ক্ষতিকারক allele এর প্রতিলিপি সঞ্চারিত হবার সম্ভাবনা বেড়ে যায়। এই প্রক্রিয়া যদি ক্রমান্বয়ে প্রজন্মের পর প্রজন্ম চলতে থাকে, তাহলে ধীরে ধীরে এই ক্ষতিকারক mutated gene-এর প্রাদুর্ভাব বাড়তেই থাকে। আন্তঃপ্রজননের ফলে gene-এর বৈচিত্র হারিয়ে যায়। সেই জনগোষ্ঠীর সুস্থতা এবং ফলস্বরূপ পরিবেশে টিকে থাকার যোগ্যতা হ্রাস পায়।
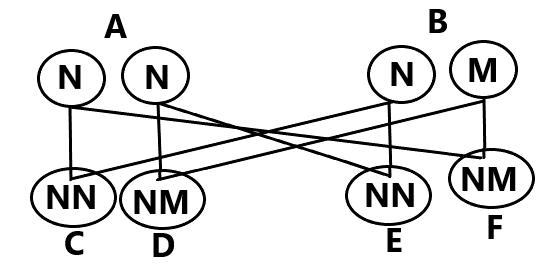
ধরা যাক, কোন এক পরিবারের কোন এক ব্যাক্তির একটি বৈশিষ্টের জন্য যে দুটি gene আছে তার একটি সুস্থ এবং স্বাভাবিক, অপর gene-টি mutation-এর ফলে ত্রুটিপূর্ণ। Mutation-এর ফলে এই ত্রুটিপূর্ণ gene-টি স্বাভাবিক কার্যক্ষমতা হারিয়েছে। এখন এই ব্যাক্তির পরবর্তী প্রজন্মে এই ত্রুটিপূর্ণ gene ছড়িয়ে দেবার সম্ভাবনা শতকরা ৫০ ভাগ।

Figure 1- এ যেমন দেখানো হয়েছে, A-এর ক্ষেত্রে উভয় allele স্বাভাবিক এবং A যে গ্যামেট উৎপন্ন করে তার সবকটির মধ্যে বিদ্যমান gene গুলি স্বাভাবিক (N)। কিন্তু B-এর ক্ষেত্রে একটি allele ত্রুটিপূর্ণ। তাই B যে গ্যামেট উৎপন্ন করে তার ৫০ শতাংশ ত্রুটিপূর্ণ allele বহন করে। যেহেতু এই পরিবর্তিত gene টি একটি প্রচ্ছন্ন গুণ বহন করে, তাই A এবং B উভয়ের মধ্যেই রোগের কোনও লক্ষণ দেখা যায় না। ঠিক সেই কারণেই A এবং B এর মিলনের ফলে উৎপন্ন (C, D, E, F) কোন অপত্যের মধ্যেই রোগের কোনও লক্ষণ দেখা যায় না। কিন্তু তাদের মধ্যে ৫০ শতাংশ (D, F) এই ত্রুটিপূর্ণ gene বহন করে চলেছে, যা তারা পরবর্তী প্রজন্মে ছড়িয়ে দিতে পারে।

Figure 2 C এবং E এদের দুজনের মিলনের ফলে উৎপন্ন প্রতিটি অপত্য স্বাভাবিক হয় এবং তারা সেই ত্রুটিপূর্ণ gene এর বাহক হয় না। কিন্তু C এবং D, অথবা C এবং F এর মিলনের ফলে একই ঘটনার পুনরাবৃত্তি হয়, অর্থাৎ ত্রুটিপূর্ণ gene তাদের অপত্যের মধ্যে সঞ্চারিত হয়। কিন্তু যদি D এবং F এর মধ্যে মিলন হয় তাহলে ২৫ শতাংশ অপত্য স্বাভাবিক হয়, ৫০ শতাংশ এই gene এর বাহক আর ২৫ শতাংশ এর রোগ দ্বারা প্রভাবিত হয়ে পড়ে। ঠিক এই কারণেই আন্তঃপ্রজননের বিরূপ প্রভাব শুরুতেই সামনে না এলেও এর সুদুর প্রসারী প্রভাব থেকেই যায়।
উপরের উদাহরণ থেকে মনে হতে পারে যে C, D, E এবং F এরা সবাই ভাই বা বোন এবং এই ধরণের সম্পর্ক যেহেতু আমাদের সমাজে নিষিদ্ধ তাই আমাদের চিন্তার কোনও কারণ নেই। একথা সঠিক যে এই উদাহরণে বোঝার সুবিধার্থে এমন একটি উদাহরণ দেখানো হয়েছে যেখানে সরাসরি ভাই বোনের মাধ্যমে অপত্য উৎপাদনের কথা বলা হয়েছে। কিন্তু লক্ষ করুন এই পরিবারের প্রথম প্রজন্মের শতকরা ৫০ ভাগ সদস্য এই ত্রুটিপূর্ণ gene বহন করে চলেছে। তারা তাদের পরবর্তী প্রজন্মেও সেই ত্রুটিপূর্ণ gene হস্তান্তর করবে। এখন C, D, E এবং F এর পরবর্তী প্রজন্মের মধ্যে যদি আন্তঃপ্রজনন ঘটে, তাহলে সেই mutated gene এর প্রভাব প্রকট হয়ে সামনে আসবে। সম্পর্ক যত কাছের হবে সম্ভাবনা তত বৃদ্ধি পাবে।
নীচের ছবিটি লক্ষ্য করুন (Figure 3):

এখানে Ocular albinism নামক একটি জিন বাহিত রোগের আদর্শ পারিবারিক চিত্র তুলে ধরা হয়েছে। লক্ষ করুন এখানে এই রোগটি কিভাবে প্রজন্মের পর প্রজন্মে বাহিত হয় আর কোন কোন ক্ষেত্রে কিছু সদস্য এই রোগে আক্রান্ত হয়।
শারীরিক, মানসিক ও জিনগত সমস্যা
ক্রমাগত আন্তঃপ্রজননের ফলে বংশানুক্রমে ত্রুটিপূর্ণ recessive gene বাহিত হবার সম্ভাবনা বেড়ে যায়, এবং এর ফলস্বরূপ ক্ষতিকারক প্রচ্ছন্ন গুনগুলির প্রভাব প্রকট হয়ে যাবার সম্ভাবনাও বাড়তে থাকে (Fareed and Afzal 2015)[13]। সমগোত্রীয় বিবাহ বন্ধনে আবদ্ধ দম্পতির ক্ষেত্রে জন্মগত বিকৃতির প্রাদুর্ভাব অনেক বেশি এবং তার মুল কারণ বিভিন্ন ক্ষতিকারক প্রচ্ছন্ন গুনাবলির উদ্ভব (Fareed and Afzal 2015)[14]।
সমগোত্রীয় বিবাহের বা আন্তঃপ্রজননের ফলে পরবর্তী প্রজন্মে বিভিন্ন ধরণের জন্মগত সমস্যা এবং দুরারোগ্য রোগব্যাধির প্রকোপ উল্লেখযোগ্য ভাবে বৃদ্ধি পেতে পারে। নবজাতকের মৃত্যুর হার বৃদ্ধি পায়, তার কারণ প্রায়শই সন্তান অপরিণত অবস্থায় জন্ম নেয়, অথবা এমন কোন gene-গত সমস্যা থাকে যা সেই শিশুর জীবন ধারণের জন্য প্রয়োজনীয় স্বাভাবিক প্রক্রিয়াকে ব্যাহত করে। Blood cancer থেকে শুরু করে বিভিন্ন autosomal recessive disease, ফুসফুসের অসুখ ও শ্বাস রোগ, বধিরতা, অপরিনত শিশুর জন্ম, মৃত সন্তান প্রসব, বন্ধ্যাত্ব এবং অন্যান্য জন্মগত বিকলাঙ্গতার সম্ভাবনা বৃদ্ধি পায় (Bellad, Goudar et al. 2012)[15]। সমগোত্র বিবাহের সন্তানদের ক্ষেত্রেই মৃগীরোগ, ব্লাড ক্যান্সার, ডায়বেটিকস হওয়ার ঝুঁকি অনেক বেশী হয়ে থাকে। বিকলাঙ্গ শিশুর জন্ম এবং সমগোত্রীয় বিবাহের মধ্যে যে এক সরল সম্পর্ক আছে তা বিভিন্ন বৈজ্ঞানিক গবেষণার মাধ্যমে প্রতিষ্ঠা হয়েছে (Tayebi, Yazdani et al. 2010[16], Hamamy 2012[17])।
Egyptian অধিবাসীদের মধ্যে যেহেতু সমগোত্রীয় বিবাহের চল বেশী, তাই সেখানে বিভিন্ন recessive বা প্রচ্ছন্ন জন্মগত রোগের তুলনামুলক ভাবে অনেক বেশী প্রাদুর্ভাব দেখতে পাওয়া যায় (Temtamy and Aglan 2012[18], Anwar, Khyatti et al. 2014[19])।
উদাহরণের জন্য একটি Qatari জনগণের একটি উদাহরণ এখানে তুলে ধরা হোল। Table 2 তে দেখানো হচ্ছে Qatari জনগনের মধ্যে সবথেকে বেশী নির্ণীত রোগ এবং তাদের মধ্যে সমগোত্রীয় বিবাহের প্রাদুর্ভাব। Table 3 তে দেখানো হচ্ছে ঐ একই জনগোষ্ঠীতে কিছু প্রাণঘাতী রোগ এবং সেই সাথে ঐসব রোগের কবলে পড়া রোগীদের মধ্যে সমগোত্রীয় বিবাহের অনুপাত।
Qatar-এর জনসংখ্যার এক পরিসংখ্যানে সাধারণ বিবাহ এবং সমগোত্র বিবাহের তালিকায় দেখা যায় সাধারণ ক্ষেত্রের তুলনায় সমগোত্র বিবাহে ক্যান্সার, মানসিক সমস্যা, হ্রদরোগ ,গ্যাসট্রোইন্টেস্টাইনাল সম্পর্কে, শ্রবন সমস্যা আরও ঘন ঘন দেখা যায় (Bener, Hussain et al. 2007)[20]।
| Disease | Consanguinity Rate | Reference |
|---|---|---|
| Hypertension | 31.8% | Bener, Al-Suwaidi et al. 2004[21] |
| Breast cancer | 29.2% | Denic, Bener et al. 2005[22] |
| Asthma | 34.8% | Bener and Janahi 2005[23] |
| Hearing loss | 60.5% | Bener, Eihakeem et al. 2005[24] |
| Diabetes | 47.6% | Bener, Zirie et al. 2005[25] |
| Cardiomyopathy | 57.1% | El-Menyar, Bener et al. 2006[26] |
| Consanguinity in child health | 54% | Bener and Hussain 2006[27] |
| Coronary artery disease | 49.5% | Daghash, Bener et al. 2007[28] |
| Diabetics | 49% | Bener, Zirie et al. 2007[29] |
| Consanguinity effect on diseases | 51% | Bener, Hussain et al. 2007[30] |
| Breast feeding | 32.9% – 38.5% | Ehlayel and Bener 2008[31] |
| Vision loss | 39.7% | Bener, Al-Mahdi et al. 2008[32] |
| ADHD | 33.9% | Bener, Al Qahtani et al. 2008[33] |
| Hearing loss | 42.1% | Bener, Salahaldin et al. 2008[34] |
| Type-1 diabetes and vitamin D deficiency | 48.8% | Bener, Alsaied et al. 2008[35] |
| Vitamin D deficiency | 44.1% | Bener, Al-Ali et al. 2009[36], Bener, Alsaied et al. 2009[37] |
| Genetics of diabetics | 31.9% | Badii, Bener et al. 2008[38] |
| Diabetics | 31.2% | Bener, Zirie et al. 2009[39] |
| Cancer | 29.5% | Bener, El Ayoubi et al. 2009[40] |
| Metabolic syndrome | 36.1% | Bener, Zirie et al. 2009[41] |
| Variables | Consanguineous n= 818 (%) | Non-Consanguineous n= 697 (%) | RR (95% CI) | p-Value |
|---|---|---|---|---|
| Parents consanguinity | 396 (48.4) | 236 (33.9) | 1.31(1.20,1.44) | <0.001 |
| Spouse parents consanguineous | 365 (44.6) | 183 (26.3) | 1.42 (1.30,1.56) | <0.001 |
| Illness among offspring | ||||
| Blindness | 10 (1.2) | 8 (1.1) | 1.03 (0.68,1.56) | 0.894 |
| Mental retardation | 30 (3.7) | 3 (0.4) | 1.71(1.52,1.92 | <0.001 |
| Epilepsy | 45 (5.5) | 6 (0.9) | 1.67 (1.50,1.87) | <0.001 |
| Asthma | 189 (23.1) | 84 (12.1) | 1.37 (1.24,1.51) | <0.001 |
| Leukemia | 17 (2.1) | 4 (0.6) | 1.51 (1.22,1.87) | 0.013 |
| Diabetes mellitus | 45 (5.5) | 17 (2.4) | 1.36 (1.16,1.60) | 0.003 |
Bardet-Biedl syndrome
Bardet-Biedl syndrome একধরণের ciliopathies, এবং এটি একটি gene বাহিত অসুখ, যা সমগোত্রীয় বিবাহের ক্ষেত্রে বেশী দেখা দেয়, কারণ এটি একটি autosomal recessive অসুখ। এই রোগে আক্রান্ত ব্যাক্তির নানা সমস্যা দেখা দেয়, যেমন rod/cone কোষের বিকৃতি, জনন কোষের বিকৃতি (hypogonadism) এবং কিডনি সমস্যা ইত্যাদি (Priya, Nampoothiri et al. 2016)[42]।
Metabolic and genetic disorders mimicking cerebral palsy
সমগোত্রীয় বিবাহের কারণে পরবর্তী প্রজন্মে কিছু কিছু শ্বসনতন্ত্রগত (metabolic) এবং gene-গত অসুখ দেখ যায়, যা অনেক সময় cerebral palsy-র মত প্রাথমিকভাবে আচরণ করে (Hakami, Hundallah et al. 2019)[43]।
Isolated sulfite oxidase deficiency (ISOD)
এটি একটি প্রাণঘাতী autosomal recessive genetic অসুখ, যার কারণে এক মারাত্মক স্নায়বিক বৈকল্য দেখা যায়। সমগোত্রীয় বিবাহের ক্ষেত্রে এই রোগের সম্ভাবনা বেড়ে যায় (Claerhout, Witters et al. 2018)[44]।
Netherton syndrome
এটি ichthyosis রোগের একটি দুর্লভ কিন্তু মারাত্মক autosomal recessive রূপ, যা ত্বক, চুল, এবং প্রতিরোধ ক্ষমতার উপর প্রভাব ফেলে (Sarri, Roussaki-Schulze et al. 2017)[45]।
Sickle cell anemia
এই রোগের ক্ষেত্রে রক্তকনিকা গুলো কাস্তে আকৃতির হয়ে যায়, যার ফলে বিভিন্ন অঙ্গে রক্তপ্রবাহ বন্ধ হয়ে যায়। ফলে অক্সিজেনের অভাবে স্নায়ু এবং অন্যান্য অঙ্গ প্রত্যঙ্গ কর্মক্ষমতা হারায়। যেমন: কিডনী, লিভার ইত্যাদি (Anwar, Khyatti et al. 2014)[46]।
Diabetes mellitus
দক্ষিণ এশিয়া এবং মধ্য প্রাচ্যের দেশগুলোতেই ডায়বেটিস বেশী দেখা যায়। ডায়বেটিস মেলিটাস/মেলাইটাস আমাদের রোগ প্রতিরোধ ক্ষমতাও অনেক দূর্বল করে দেয়। দেহে এক পর্যায়ে ইনসুলিন তৈরি হওয়া বন্ধ হয়ে জায়। এটি জিনগত সমস্যা হওয়ায় বংশপরম্পরায় প্রবাহিত হতে থাকে ফলে নিকট আত্মীয়ের মধ্যে বিবাহ তা হওয়া সঙ্কা দ্বিগুন বৃদ্ধি।
Intellectual disabilities
জন্মগত জড়বুদ্ধিটার এক প্রধান কারণ কিছু Autosomal recessive (AR) gene-এর mutation বা পরিবর্তন। সমগোত্রীয় বিবাহ বা আন্তঃপ্রজনন এর ফলে পরবর্তী প্রজন্ম এই রোগের দ্বারা আক্রান্ত হয় (Hu, Kahrizi et al. 2019)[47]।
উপরোক্ত অসুখগুলি ছাড়া আরও বহু ধরণের সমস্যা দেখা দিতে পারে, যেমন:
- Laryngitis
- Vocal cord paresis or paralysis
- Spasmodic dysphonia
- Thalasemia
- Birth defects or congenital anomalies
- Early hearing impairment
- Early vision impairment
- Mental retardation or learning disability
- Developmental delay or failure to thrive
- Inherited blood disorder
- Unexplained neonatal or infant death in offspring
- Epilepsy
- Undiagnosed severe condition
- Periodontitis
এগুলি ছাড়াও আরও কিছু রোগ reference-সহ উল্লেখ করা হল:
| রোগের নাম | Reference |
|---|---|
| Amelogenesis imperfecta (Autosomal recessive form) | (Crawford, Aldred et al. 2007) [48] |
| Nephrolithiasis and Nephrocalcinosis | (Tasic and Gucev 2015) [49] |
| congenital heart disease | (Shieh, Bittles et al. 2012) [50] |
| Hereditary hearing loss | (Girotto, Mezzavilla et al. 2014) [51] |
| Disorders of sex development | (Bashamboo and McElreavey 2014) [52] |
| Aplastic anemia | (Akram, Ahmed et al. 2019) [53] |
| Congenital heart defect (CHD) | (Aburawi, Aburawi et al. 2015) [54] |
| Neonatal blistering diseases | (Zhao and Murrell 2016) [55] |
| Macrophage activation syndrome (MAS) | (Sefsafi, Hasbaoui et al. 2018) [56] |
| Macrophage activation syndrome | (Sefsafi, Hasbaoui et al. 2018) [57] |
| Cardio metabolic disease | (Bhasin and Kapoor 2015) [58] |
ইতিহাস ও রক্ত সম্পর্কীয় বিবাহ প্রথা
ইতিহাস পর্যালাচনা করলে দেখা যায় প্রাচীন মিশরে আপন ভাইবোনের মধ্যে বিবাহ প্রথার চল ছিল যা মূলত ফিরাউনরা তাদের রাজকীয়তা এবং বিশুদ্ধতা বজায় রাখার জন্য এমন করতো যাতে বংশ পরম্পরায় সিংহাসন নিজ গোত্রের মানুষের দ্বারাই পরিচালিত হয়। ক্লিওপেট্রা (৬ষ্ঠ) সাথে তার ঔরসজাত (হালফ সিব্লিংস) ছোটভাই টলেমির ( ত্রয়োদশতম) সাথে বিবাহ বন্ধনে আবদ্ধ হয়েছিল এবং তাদের পিতামাতারাও ঔরসজাত ভাইবোন ছিলেন। বেশীরভাগ ক্ষেত্রে তারা সৎ ভাইবোনদের মধ্যে এই বিয়ে সংঘটিত হতে দেখা গেলেও আর্সিনোও (দ্বিতীয়) এবং টলেমি (দ্বিতীয়) ফিডালকাস আপন ভাইবোনদের মধ্যে বিবাহ করে ঐতিহ্য ভঙ্গ করে (Černý 1954)[59]।
এছাড়াও প্রাচীন গ্রীসেও সমগোত্রীয় বিবাহের প্রচলন ছিল স্পারটান রাজা লিওনিভাস (প্রথম) বিবাহ করেছিলেন তারই ঔরসজাত ভাইয়ের কন্যা গোরগো কে। তবে তাদের সমগোত্রীয় বিবাহরীতি মুলত বাবার ঔরসজাত ভাইবোনদের মধ্যে হওয়া বৈধন্দের। (Half sibling) অর্থাৎ বাবা এক হলেও মা ভিন্ন হতে হতো এর ক্ষেত্রে। প্রাচীন গ্রীসে অজাচরকেও একটি সুফলের দিক হিসেবে দেখা গত। প্রাচীন রোমেও এ প্রথার চল ছিল। সম্রাট ক্লওডিয়াস আপন ভাইয়ের মেয়েকে বিয়ে করেছিল (Thompson 1967)[60]।
হিন্দু ধর্মের রক্ত সম্পর্কীয় যৌনতা
যদিও হিন্দুধর্মে আন্তঃপ্রজনন সাধারণত একটি নিষিদ্ধ সম্পর্ক হিসাবে দেখ হয়, কিন্তু ভারতবর্ষের বিভিন্ন অঞ্চলের হিন্দুদের মধ্যে এর বহুল প্রচলনও দেখা যায়। বিবাহের ক্ষেত্রে বৈধ এবং অবৈধ সম্পর্কের নীতি নির্ধারণ বিভিন্ন হিন্দুশাস্ত্রে চোখে পড়ে। যেমন মনুস্মৃতি শ্লোক ৩.৫ এ বলা হয়েছে, “असपिण्डा च या मातुरसगोत्रा च या पितुः । सा प्रशस्ता द्विजातीनां दारकर्मणि मैथुने ॥ ५ ॥” অর্থাৎ, যে নারী মায়ের সপিণ্ড নয়, পিতার সগোত্র নয়, দ্বিজের ক্ষেত্রে সন্তান উৎপাদনের হেতু সেই দারপরিগ্রহ (বিবাহ) শ্রেষ্ঠ। এখানে এই ‘সপিণ্ড’ এবং ‘সগোত্র’ কথা দুটি নিয়ে ভিন্ন মত আছে। কিছু স্মৃতিতে বলা হচ্ছে, মায়ের দিক থেকে তিন পুরুষ সম্পর্কের আত্মীয় হলে তারা সপিণ্ড। কিন্তু, অধিকাংশ ক্ষেত্রেই মায়ের দিক থেকে পঞ্চম পুরুষ সম্পর্ক অতিক্রম করলে তবেই সেই বিবাহ বৈধ। যেমন গৌতম ধর্মসুত্রে বলা হয়েছে, (অধ্যায় 4 শ্লোক 2-5) “নিম্ন প্রবরে (অর্থাৎ পাত্রের থেকে পাত্রীর প্রবর নিম্ন) বিবাহ হওয়া উচিত(শ্লোক ২), পিতা কে নিয়ে তাঁর আত্মীয়বর্গে সাত পুরুষ উপরে, বীজী (নিয়োগ প্রথায় নিযুক্ত পুরুষ) -র বংশেরও সপ্তম পুরুষ উপরে, মা থেকে নিয়ে তাঁর পঞ্চম পুরুষ উপরে কোন নারীকে বিবাহ করা উচিত (শ্লোক ৩)।” বশিষ্ঠ বলছেন, “গৃহস্থ হবার সময়, ক্রোধ ও হর্ষ সংবরণ করে, গুরুর আজ্ঞা নিয়ে সমাবর্তন স্নান করে, ভিন্ন গোত্রের যুবতী, যাকে মৈথুন এখনো স্পর্শ করে নি, এবং যে যুবতী, মাতার দিক থেকে শুরু করে পাঁচ পুরুষ এবং পিতার দিক থেকে সাত পুরুষে সম্পর্ক নেই, তার সাথে বিবাহ বৈধ, এবং তার সাথে সন্তান উৎপাদন করা যাবে”।

আবার যাজ্ঞবল্ক্য বলছেন (১.৫৩) বলছেন “যে নারী রোগহীন, যার ভাই আছে, সগোত্র বা সম ঋষি নয়, মায়ের দিক থেকে পাঁচ পুরুষ এবং পিতার দিক থেকে সাত পুরুষ সম্পর্ক নেই, সে বিবাহ যোগ্য।” তবে এ ব্যাপারে আক্ষরিক অর্থেই নানা মুনির নানা মত। বোধায়ন ধর্মসুত্রে বলছেন (২.১.৩৮), যদি ভুল করে কেউ মায়ের সগোত্র কোন নারীকে বিবাহ করে ফেলে, তাহলে সেই নারীকে মাতৃজ্ঞান করতে।

এখন সমস্যা হোল, সপিণ্ড কাকে বলা হবে সেই নিয়ে যেমন নানা মুনির নানা মত আছে; যেমন, কেউ বলছেন মায়ের দিক থেকে তিন পুরুষ হলেই সপিণ্ড, আবার কেউ বলছেন পাঁচ পুরুষ, আবার কেউ সাত পুরুষ; তেমনি আবার দত্তক নিলেও গোত্র পরিবর্তন হয়। যেমন, অর্জুন বিবাহ করেন সুভদ্রাকে। সুভদ্রা কৃষ্ণের বোন। কুন্তি (পিতৃদত্ত নাম পৃথা) জন্মসুত্রে যাদব শুরসেনার কন্যা এবং বসুদেবের বোন। নিঃসন্তান কুন্তিভোজ কুন্তিকে দত্তক নেন এবং তাই তাঁর নাম হয় কুন্তি। যেহেতু কুন্তিকে দত্তক নেওয়া হয়, সেই কারণে তাঁর গোত্র পরিবর্তন হয়ে যায় এবং সেই কারণে সুভদ্রা ও অর্জুনের বিবাহ বৈধ হয়ে যায়। দক্ষিণ ভারতে সমগোত্রীয় বিবাহ তথা আন্তঃ প্রজননের প্রচলন এখনও আছে।
হিন্দু ধর্মে প্রচলিত বিভিন্ন তথ্য পর্যালোচনা করলে মনে হয় উত্তর ও দক্ষিণ ভারতের ভিন্ন ভিন্ন প্রথার প্রচলনের কারণ প্রাক-বৈদিক রীতি, বৈদিক রীতি ও বৈদিক পরবর্তী রীতির বিবর্তন। ঋকবেদে সরাসরি ভাই বোনের (সহোদর) মধ্যে যৌনসম্পর্কে বাধা দেবার প্রচেষ্টা পরিলক্ষিত হয়।
ঋগ্বেদ ১০।০১০ ঋগ্বেদ সংহিতা।। ১০ম মণ্ডল।। সূক্ত ১০ (১) যম ও যমী দেবতা। এবং তাঁহারাই ঋষি। ১। (যমী ও যম যমজ ভ্রাতৃভগিনী, তন্মধ্যে যমী যমকে কহিতেছেন)–বিস্তীর্ণ সমুদ্রমধ্যবর্তী এই দ্বীপে আসিয়া এই নির্জন প্রদেশে তোমার সহবাসের জন্য আমি অভিলাষিণী, কারণ গর্ভাবস্থা অবধি তুমি আমার সহচর। বিধাতা মনে মনে চিন্তা করিয়া রাখিয়াছেন, যে তোমার ঔরসে আমার গর্ভে আমাদিগের পিতার এক সুন্দর নপ্তা (নাতি) জন্মিবে। ২। ( যমের উত্তর )–তোমার গর্ভসহচর তোমার সহিত এপ্রকার সম্পর্ক কামনা করেন না। যেহেতু তুমি সহোদর ভগিনী অগম্যা। আর এস্থান নির্জন নহে, যেহেতু সেই মহান্ অসুরের স্বর্গধারণকারী বীরপুত্রগণ পৃথিবীর সর্বভাগ দেখিতেছেন। ৩। ( যমীর উক্তি )—যদিচ কেবল মনুষ্যের পক্ষে এপ্রকার সংসর্গ নিষিদ্ধ, তথাপি দেবতারা এরূপ সংসর্গ ইচ্ছাপূৰ্ব্বক করিয়া থাকেন। অতএব আমার যেরূপ ইচ্ছা হইতেছে,তুমিও তদ্রূপ ইচ্ছা কর। তুমি পুত্ৰজন্মদাতা পতির ন্যায় আমার শরীরে প্রবেশ কর। ৪। (যমের উত্তর)-একাৰ্য পূর্বে কখন আমরা করি নাই। আমরা সত্যবাদী, কখন মিথ্যা কহি নাই। গন্ধর্ব আমাদিগের পিতা, আর আপ্যা যোষা আমাদিগের উভয়ের মাতা; সুতরাং আমাদিগের উভয়ের অতি নিকট সম্পর্ক। ৫। (যমীর উক্তি)–নির্মাণকর্তা ও প্রসবিতা ও বিশ্বরূপ দেবত্বষ্টা, আমাদিগকে গর্ভাবস্থাতেই বিবাহিত স্ত্রীপুরুষবৎ করিয়াছেন। তাহার অভিপ্রায় অন্যথা করিতে কাহারও সাধ্য নাই। আমাদিগের এই সম্পর্ক পৃথিবী ও আকাশ উভয়েই জানেন। ৬। (যমের উক্তি)—এই প্রথম দিন কে জানে? কে বা দেখিয়াছে? কেই বা প্রকাশ করিয়াছে? মিত্র ও বরুণের আবাসভূত এই বিশ্বজগৎ অতি প্রকাণ্ড। অতএব হে আহন! তুমি নরদিগকে ইহার কি বল? ৭। (যমীর উক্তি) তুমি যম, আমি যমী, তুমি আমার প্রতি অভিলাষযুক্ত হও, এস এক স্থানে উভয়ে শয়ন করি। পত্নী যেমন পতির নিকট, তদ্রূপ আমি তোমার নিকট নিজ দেহ সমৰ্পণ করিয়া দিই। রথ ধারণকারী চক্রদ্বয়ের ন্যায় এস, আমরা এক কাৰ্য্যে প্রবৃত্ত হই। ৮। (যমের উত্তর)–এই যে সকল দেবতাদিগের গুপ্তচর, ইহাদের সর্বত্র গতিবিধি, ইহারা চক্ষুঃ নিমীলন করে না। হে ব্যথাদায়িনি যাও, শীঘ্র অন্যের নিকট গমন কর; রথধারণকারী চক্রদ্বয়ের ন্যায় তাহার সহিত এক কাৰ্য্য কর। ৯। (যমীর উক্তি)–কি দিবসে, কি রাত্রিতে, যজ্ঞের ভাগ যেন যমকে দান করা হয়, সূর্যের তেজঃ যেন পুনঃ পুনঃ আবির্ভূত হয়। দ্যুলোক ও ভূলোক স্ত্রীপুরুষবৎ সম্বন্ধ। যমী যাইয়া ভ্রাতা যমের আশ্রয় গ্রহণ করুক। ১। (যমের উক্তি)–ভবিষ্যতে এমন যুগ হইবে, যখন ভ্রাতা ভগ্নীর সহিত সহবাস করিবে। হে সুন্দরি! এক্ষণে আমা ভিন্ন অন্য পুরুষকে পতিত্বে বরণ কর। তিনি যখন তোমাকে গ্রহণ করিবেন, তখন তাকে বাহুদ্বারা আলিঙ্গন ১১। (যমীর উক্তি)–সে কিসের ভ্রাতা, যদি সে থাকিতেও ভগিনী অনাথ হয়? সে কিসের ভগিনী, যদি সেই ভগিনী সত্ত্বেও ভ্রাতার দুঃখ দূর না হয়? আমি অভিলাষে মূর্ছিতা হইয়া এই করিয়া বলিতেছি; তোমার শরীরে আমার শরীরে মিলাইয়া দাও। ১২। (যমের উত্তর)—তোমার শরীরের সহিত আমার শরীর মিলাইতে ইচ্ছা নাই। ভগিনীতে যে ব্যক্তি উপগত হয়, তাহাকে পাপী কহে। আমি ভিন্ন অন্য পুরুষের সহিত সুখ সম্ভোগের চেষ্টা দেখ। হে সুন্দরি! তোমার তার তাদৃশ অভিলাষ নাই। ১৩। (যমীর উক্তি)–হায়! যম! তুমি নিতান্ত দুর্বল পুরুষ দেখি তেছি। এ তোমার কি প্রকার মন, কি প্রকার অন্তঃকরণ, আমি কিছুই বুঝিতে পারিতেছি না। রজ্জু যেরূপ ঘোটককে বেষ্টন করে, কিংবা যেরূপ লতা বৃক্ষকে আলিঙ্গন করে, তদ্রূপ অন্য নারী অনায়াসেই তোমাকে আলিঙ্গন করে, অথচ তুমি আমার প্রতি বিমুখ! ১৪। (যমের উত্তর )–হে যমি! তুমি ও অন্য পুরুষকে আলিঙ্গন কর। যেরূপ লতা বৃক্ষকে, তদ্রূপ অন্য পুরুষই তোমাকে আলিঙ্গন করুক। তাহারই মন তুমি হরণ কর, সেও তোমার মন হরণ করুক। তাহারই সহবাসের ব্যবস্থা স্থির কর, তাহাতেই মঙ্গল হইবে।
এখানে যমী ভ্রাতা যমকে সঙ্গমের অভিলাষ ব্যক্ত করছে, কিন্তু যম প্রত্যাখ্যান করছেন। আবার ‘ঋগ্বেদ ০৬। ৫৫ (ঋগ্বেদ সংহিতা । ৬ষ্ঠ মণ্ডল । সূক্ত ৫৫ পূষা দেবতা। ভরদ্বাজ ঋষি।)‘ পূষার কথা পাওয়া যায়। সেখানে চতুর্থ শ্লোকে পুষাকে “ভগিনী অর্থাৎ ঊষার জার” বলে সম্বোধন করা হয়েছে। এই ‘জার’ শব্দ থেকেই ‘জারজ’ কথার উৎপত্তি। আবার পঞ্চম শ্লোকে “রাত্রিরূপ মাতার পতিদেব” হিসাবে সম্বোধন করা হয়েছে।

पूषणं नवजाश्वमुप सतोषाम वाजिनम |
सवसुर्यो जार उच्यते || ৬/৫৫/৪
— ( অর্থাৎ) অদ্য আমরা ছাগবাহন, অন্নসম্পন্ন সে পূষার স্তব করছি, যাকে লোকে তার ভগিনী অর্থাৎ ঊষার জার বা প্রণয়ী বলে থাকে।
मातुर्दिधिषुमब्रवं सवसुर्जारः शर्णोतु नः |
भरातेन्द्रस्य सखा मम || ৬/৫৫/৫
— (অর্থাৎ) রাত্রিরূপ মাতার পতিদেব পূষার স্তব করছি। তার ভগিনীর জার, (প্রণয়ী বা উপপতি) পূষা আমাদের স্তোত্র শুনুন। ইন্দ্রের সহোদর পূষা যেন আমাদের মিত্র হন।
আবার ঋগ্বেদ ১০।০০৩ (ঋগ্বেদ সংহিতা।। ১০ম মণ্ডল।। সূক্ত ৩) বলা হচ্ছে “অগ্নি নিজে সুরূপ, সুরূপা দীপ্তির সহিত সমাগত হইয়া আসিতেছেন, তিনি উপপতির ন্যায় উষার পশ্চাৎ পশ্চাৎ যাইতেছেন।” Griffith অনুবাদ করছেন, “Lover followeth his Sister”। এখানে ‘জার’ কথাটা লক্ষ্য করুন। ‘জার’ কথার অর্থ উপপতি। ‘জারজ’ কথার অর্থ উপপতি দ্বারা জাত। যদিও দয়ানন্দ সরস্বতী ‘জার’ কথাটার তর্জমা করছেন ‘যা জীর্ণ করে’। কিন্তু সেই ক্ষেত্রে ‘জারক’ কথাটার ব্যবহার হওয়া উচিত ছিল।

পরবর্তী শ্লোক ঋকদেব থেকে “दयौर्मे पिता जनिता नाभिरत्र बन्धुर्मे माता पर्थिवीमहीयम | उत्तानयोश्चम्वोर्योनिरन्तरत्रा पिता दुहितुर्गर्भमाधात || (ঋগ্বেদ ০১।১৬৪ ঋগ্বেদ সংহিতা ।। ১ম মণ্ডল সূক্ত ১৬৪)”। এখানে দ্যৌষ পিতার কথা বলা হচ্ছে। দ্যৌষ আর গ্রীক দেবতা Zyus এর মধ্যে বহু সাদৃশ্য লক্ষ্য করা যায়। এই দ্যৌষ হলেন ঊষার পিতা। এই শ্লোকের শেষের দিকে বলা হচ্ছে “पिता दुहितुर्गर्भमाधात” অর্থাৎ “পিতা দুহিতার গর্ভ উৎপাদন করেন”।

ঋগবেদের দশম মণ্ডলের ৬১ সুক্তেও পিতা ও কন্যার মধ্যে অজাচারের উল্লেখ পাওয়া যায়-
परथिष्ट यस्य वीरकर्ममिष्णदनुष्ठितं नु नर्योपौहत |
पुनस्तदा वर्हति यत कनाया दुहितुरानुभ्र्तमनर्वा || ১০/৬১/৫
— ( অর্থাৎ) যে রস বীরপুত্র উৎপাদন করিতে সমর্থ , তাহা বৃদ্ধি পাইয়া নির্গত হইল। তিনি তখন মনুষ্য বর্গের হিতার্থে তাহা নিষেক করিলেন। আপনার সুশ্রী কন্যার শরীরে সেই রস সেক করিলেন।
मध्या यत कर्त्वमभवदभीके कामं कर्ण्वाणेपितरि युवत्याम |
मनानग रेतो जहतुर्वियन्ता सानौनिषिक्तं सुक्र्तस्य योनौ || ১০/৬১/৬
— ( অর্থাৎ) যখন পিতা যুবতী কন্যার উপর পূর্বোক্তরূপ রতিকামনা পরবশ হইলেন এবং উভয়ের সঙ্গমন হইল , তখন উভয়ে পরস্পর সঙ্গমে প্রচুর রস সেক করিলেন। সুকৃতের আধার স্বরূপ এক উন্নত স্থানে সেই রস সেক হইল।
पिता यत सवां दुहितरमधिष्कन कष्मया रेतःसंजग्मानो नि षिञ्चत |
सवाध्यो.अजनयन बरह्म देवावास्तोष पतिं वरतपां निरतक्षन || ১০/৬১/৭
— ( অর্থাৎ) যখন পিতা নিজ কন্যাকে সম্ভোগ করিলেন , তখন তিনি পৃথিবীর সহিত সঙ্গত হইয়া রস সেক করিলেন। সুচারু ধীশক্তি সম্পন্ন দেবতারা তাহা হইতে ব্রহ্ম সৃষ্টি করিলেন এবং ব্রতরক্ষাকারী বাস্তোস্পতিকে নির্মাণ করিলেন।
এবার আসি বৃহদারণ্যক উপনিষদের প্রথম অধ্যায়, চতুর্থ ব্রহ্মণ। এখানে বলা হচ্ছে, এই পরিদৃশ্যমান জগত পূর্বে পুরুষরুপী আত্মা রূপে বর্তমান ছিলেন। সেই আত্মা চারদিকে দৃষ্টিপাত করে দেখলেন তিনি ব্যতীত কী নেই। তিনি প্রথমে ভয় পেলেন। তাই সবাই একা থাকলে ভয় পায়। তিনি আনন্দ লাভ করলেন না। তিনি দ্বিতীয় কাউকে ইচ্ছে করলেন এবং নিজ দেহ কে দুই ভাগ করলেন। এই ভাবে পতি ও পত্নী উৎপন্ন হল। তিনি সেই পত্নীতে মিথুনভাবে উপগত হলেন। সেখান থেকে মানব হল। সেই স্ত্রী এর পর ভাবলেন, ‘আমাকে আপনা থেকে উৎপন্ন করিয়া কি প্রকারে আমাতে উপগত হইতেছে।’ এই বলে তিনি গাভীর রূপ ধারণ করলেন। অন্যজন, অর্থাৎ প্রজাপতি, বৃষ হয়ে সেই গাভীতে উপগত হলেন। এই ভাবে সেই স্ত্রী বিভিন্ন রূপ ধারণ করলেন। আর প্রজাপতি সেই রূপে উপগত হয়ে সকল জীবের সৃষ্টি করলেন।

এবার দেখা যাক শ্রীমদ্ভগবত পুরানের দশম স্কন্ধে একষট্টিতম অধ্যায়ে ২৫ নম্বর শ্লোকে। এখানে বলা হচ্ছে, রুক্মীর সঙ্গে শ্রীকৃষ্ণের বিবাদ বৃত্তান্ত থাকলেও নিজ ভগিনী রুক্মিণীকে প্রসন্ন করবার জন্য পৌত্রী রোচনার বিবাহ রুক্মিণীর পৌত্র ও নিজ দৌহিত্র অনিরুদ্ধের সঙ্গে দিয়েছিলেন। রুক্মী জানতো যে এই এইরূপ বিবাহ ধর্ম বিধান অনুকুল নয়, তবুও রুক্মিণীকে প্রসন্ন করবার জন্য সে এই বিবাহ দিয়েছিল।

আন্তঃপ্রজননের এইরূপ বহু উদাহরণ হিন্দুধর্মের বিভিন্ন ধর্মগ্রন্থে পাওয়া যায়। আবার গৌতম বুদ্ধের ক্ষেত্রেও এইরূপ উদাহরণ দেখা যায়। গৌতম বুদ্ধের পিতা ছিলেন শুদ্ধোদন, তাঁর ভগিনী অমিতা। অমিতা ও সুপ্রবুদ্ধর কন্যা যশোধরাকে বিবাহ করেন গৌতম বুদ্ধ।
বৈদিক যুগে সমাজে এই আন্তঃপ্রজননের বা সগোত্রীয় বিবাহের প্রচলন ছিল, পরবর্তী কালে যা পরিবর্তন হয়। আর সেই উদাহরণ হিসাবে আমরা দেখতে পাই বিভিন্ন ঋষির বিধানে। কিন্তু দক্ষিণ ভারতে এখনও সেই বৈদিক যুগের বেশ কিছু রীতির প্রচলন এখনও দেখা যায়। তামিলনাড়ুতে মামা ভাগ্নির মধ্যে বিবাহের বহুল প্রচলন আছে। দক্ষিণ ভারতে হিন্দুদের মধ্যে সমগোত্রীয় বিবাহ প্রায় শতকরা ২৭ ভাগ।
ভারতে যে সমস্ত জনগোষ্ঠীর মধ্যে সমগোত্রীয় বিবাহের বহুল প্রচলন দেখা যায়, তাদের মধ্যে এই রীতি পালনের কিছু কারণ আছে। প্রধানত, বিবাহের সময় যৌতুক থেকে মুক্তি। যৌতুক দিলেও টা পরিবারের মধ্যে থেকে যায়। আবার পরিবারের মধ্যে বিবাহ হলে বধু নির্যাতনের সম্ভবনাও কমে যায়। তাছাড়া আরও একটি কারণ হল নিজের বর্ণের মধ্যেই বিবাহ করার প্রবনতা। অনেকেই মনে করেন পাত্রী যদি চেনা জানা হয় সে শ্বশুর বাড়িতে এসে নিজেকে মানিয়ে নিতে পারবে, কারণ শ্বশুর বাড়ির রীতিনীতির সাথে সে পরিচিত। কিন্তু যে কারণেই হোক, আন্তঃপ্রজননের প্রাদুর্ভাব যতই বাড়তে থাকবে বিভিন্ন জন্মগত রোগের প্রাদুর্ভাবও সাথে সাথে বাড়বে।
বাইবেলে রক্ত সম্পর্কীয় যৌনতা
আব্রাহামিক ধর্মের বিশ্বাস অনুসারে, আদম এবং হাওয়ার ছেলেরা নিজ বোনকে বিবাহ ও যৌন সঙ্গম করতো। এর অর্থ হচ্ছে, এই ধর্মগুলো অনুসারে মানব সমাজ হচ্ছে ভাই বোনের অজাচারের মাধ্যমে জন্ম নেয়া জাতি। সেইসাথে, নবী ইব্রাহিমের স্ত্রী সারাহ ছিল একইসাথে তার স্ত্রী এবং বোন [61] ।
সারা আমার স্ত্রী, আবার আমার বোনও বটে। সারা আমার পিতার কন্যা বটে, কিন্তু আমার মাতার কন্যা নয়।
খ্রিস্টান ধর্মের পবিত্র ধর্মপুস্তক বাইবেল অনুসারে, আব্রাহামিক ধর্মের একজন প্রধান নবী লুত তার দুই কন্যার সাথে যৌন সঙ্গম করেন এবং তাদেরকে গর্ভবতী করে ফেলেন। আদিপুস্তকে তার বেশ রগরগে বর্ণনা রযেছে [62]
30 সোযরে বাস করতে লোটের ভয় করছিল। তাই তিনি ও তাঁর দুই মেয়ে পর্বতে বাস করতে চলে গেলেন। সেখানে তাঁরা একটা গুহার মধ্যে বাস করতে লাগলেন।
31 দুজনের মধ্যে যে মেয়ে বড় সে একদিন ছোট বোনকে বলল, “পৃথিবীতে সর্বত্র স্ত্রী ও পুরুষ বিয়ে করে এবং তাদের সন্তানাদি হয়। কিন্তু আমাদের পিতা বৃদ্ধ হয়েছেন এবং আমাদের সন্তানাদি দিতে পারে এমন অন্য পুরুষ এখানে নেই।
32 তাই আমরা পিতাকে প্রচুর দ্রাক্ষারস পান করিয়ে বেহুঁশ করিয়ে দেব। তারপর তাঁর সঙ্গে আমরা যৌনসঙ্গম করব। আমাদের পরিবার রক্ষা করার জন্যে আমরা এইভাবে আমাদের পিতার সাহায্য নেব!”
33 সেই রাত্রে দু মেয়ে তাদের পিতার কাছে গেল এবং তাঁকে প্রচুর দ্রাক্ষারস পান করতে দিল। তারপর বড় মেয়ে পিতার বিছানায় গিয়ে তাঁর সঙ্গে যৌন সঙ্গম করল। লোট এমন নেশাগ্রস্ত ছিলেন যে তাঁর বিছানায় কে কখন এল এবং কে কখন গেল কিছুই বুঝতে পারলেন না।
34 পরদিন ছোট বোনকে বড় বোন বলল, “গত রাত্রে আমি পিতার সঙ্গে এক বিছানায় শুয়েছি। আজ রাতে আবার তাঁকে দ্রাক্ষারস পান করিয়ে বেহুঁশ করে দেব। তাহলে তুমি তাঁর সঙ্গে যৌন সঙ্গম করতে পারবে। এভাবে আমরা সন্তানাদি পেতে আমাদের পিতার সাহায্য নেব। এতে আমাদের বংশধারা অব্যাহত থাকবে।”
35 সুতরাং সেই রাত্রে দু মেয়ে আবার পিতাকে নেশাতে বেহুঁশ করে দিল। তারপর ছোট মেয়ে পিতার বিছানায় গিয়ে পিতার সঙ্গে যৌন সঙ্গম করল। এবারেও লোট এমন নেশাগ্রস্ত ছিলেন যে জানতে পারলেন না কে তার বিছানায এল, কে গেল।
36 লোটের দু মেয়েই গর্ভবতী হল। তাদের পিতাই তাদের সন্তানাদির পিতা।
37 বড় মেয়ের হল এক পুত্র সন্তান। তার নাম হল মোযাব। বর্তমানে য়ে মোয়াবীয় জাতি আছে তাদের আদিপুরুষ হলেন মোযাব।
38 ছোট মেয়েও এক পুত্র সন্তানের জন্ম দিল। তার নাম বিন্-অম্মি। বর্তমানে য়ে অম্মোন জাতি আছে তাদের আদিপুরুষ হলেন বিন্-অম্মি।
ইসলামে রক্ত সম্পর্কীয় যৌনতা
■ ইসলামের বিশ্বাস অনুসারে, আদম হাওযার ছেলে হাবিল ও কাবিলের বোনদের সাথে তাদের বিবাহ দেয়া হয়েছিল। কে কাকে বিয়ে করবে, এই নিয়ে এই দুই ছেলের মধ্যে ঝগড়ার সুচনা হয় [63]।

আসুন একটি ওয়াজ শুনে নেয়া যাক,
■ জয়নব বিনতে জাহশ (জন্ম আনুমানিক ৫৯০– মৃত্যু ৬৪১) ছিলেন মুহাম্মদ এর ফুফাতো বোন এবং একইসাথে তার স্ত্রী। তার মা ছিলেন উমামা বিনতে আবদুল মুত্তালিব, কুরাইশ গোত্রের হাশিম বংশের সদস্য এবং মুহাম্মদের পিতা আবদুল্লাহর আপন বোন। যয়নব ও তার পাঁচ ভাইবোন ছিলেন মুহাম্মদের ফার্স্ট ব্লাড কাজিন বা আপন চাচাত ভাই বা বোন। একটি হাদিস এখানে প্রাসঙ্গিক,
গ্রন্থের নামঃ সহীহ মুসলিম (হাঃ একাডেমী)
হাদিস নম্বরঃ (3298)
অধ্যায়ঃ ১৭। বিবাহ
পাবলিশারঃ হাদিস একাডেমি
পরিচ্ছদঃ ২. কোন মহিলাকে দেখে কোন পুরুষের মনে যৌন কামনা জাগ্রত হলে সে যেন তার স্ত্রীর সাথে অথবা ক্রীতদাসীর সাথে গিয়ে মিলিত হয়
৩২৯৮-(৯/১৪০৩) আমর ইবনু আলী (রহঃ) ….. জাবির (রাযিঃ) থেকে বর্ণিত। রসূলুল্লাহ সাল্লাল্লাহু আলাইহি ওয়াসাল্লাম এক মহিলাকে দেখলেন। তখন তিনি তার স্ত্রী যায়নাব এর নিকট আসলেন। তিনি তখন তার একটি চামড়া পাকা করায় ব্যস্ত ছিলেন এবং রসূলুল্লাহ সাল্লাল্লাহু আলাইহি ওয়াসাল্লাম নিজের প্রয়োজন পূরণ করলেন। অতঃপর বের হয়ে সাহাবীগণের নিকট এসে তিনি বললেনঃ স্ত্রীলোক সামনে আসে শয়ত্বানের বেশে এবং ফিরে যায় শায়ত্বানের বেশে। অতএব তোমাদের কেউ কোন স্ত্রীলোক দেখতে পেলে সে যেন তার স্ত্রীর নিকট আসে। কারণ তা তার মনের ভেতর যা রয়েছে তা দূর করে দেয়। (ইসলামিক ফাউন্ডেশন, ৩২৭৩, ইসলামীক সেন্টার ৩২৭১)
হাদিসের মানঃ সহিহ (Sahih)
■ ইসলামের চতুর্থ খলিফা হযরত আলী ছিলেন নবী মুহাম্মদের আপন চাচাতো ভাই। নবী মুহাম্মদ তার সাথে তার আপন মেয়েকে বিবাহ দিয়েছিলেন।
■ মুহাম্মাদের কন্যা জয়নব বিনতে মুহাম্মাদ এর কন্যা ছিলেন উমামা, পুরো নাম উমামা বিনতে আবিল আস মুহাম্মাদ। মুহাম্মদের চাচাতো ভাই এবং একইসাথে মুহাম্মদের মেয়ে ফাতিমার স্বামী হযরত আলী তাকে বিয়ে করেছিলেন। এর অর্থ হচ্ছে, হযরত আলী একই সাথে নবী মুহাম্মদের আপন চাচাতো ভাই, মেয়ের জামাই এবং নাতনীর জামাই।
■ ইসলামের দ্বিতীয় খলিফা হযরত উমরও বিবাহ করেন তার চাচাতো বোন আতিকা বিনতে যায়েদ ইবনে আমর ইবনে নুফাইলকে। তিনি দেখতে অনেক সুন্দরী ছিলেন। [64]
■ ইসলামে ফার্স্ট ব্লাড এবং সেকেন্ড ব্লাড কাজিন বিবাহ বৈধ এবং আইনগতভাবে একে নিষিদ্ধ করা কিংবা নিরুৎসাহিত করা কোন ইসলামিক দেশে সম্ভব নয়। এই বিষয়ে সৌদি আরবের সর্বোচ্চ আলেমদের দ্বারা পরিচালিত প্রখ্যাত ইসলাম বিষয়ক ওয়েবসাইট ইসলামকিউএ থেকে একটি প্রশ্নোত্তর দেখে নিই [65],
Ruling on marrying cousins
Publication : 23-07-1997
Question
Is it correct,that our Rusul , discouraged marrying cousins. You, see marrying cousins should be the last resort.
Jazakallah.
Answer
Praise be to Allah.
Al-hamdu lillah (All praise be to Allah). There is no objection whatsoever in the Islamic religion for a man to marry any of his relatives except al-maharim (those forbidden for marriage) whom Allah mentioned in surat al-nisaa’, 4:23 (interpretation of the meaning):
Prohibited to you (for marriage) are: your mothers, daughters, sisters; father’s sisters, mother’s sisters; brother’s daughters, sister’s daughters; foster-mothers (who breast-fed you), foster-sisters (who breast-fed from the same woman as you); your wives’ mothers; your step-daughters under your guardianship, born of your wives with whom you have consummated marriage, no prohibition if ye have not consummated; (those who have been) wives of your sons proceeding from your loins; and two sisters in wedlock at one and the same time, except for what is past; for Allah is Oft-Forgiving, Most Merciful.
Thus, when Allah mentioned for us the relatives to whom marriage is forbidden, we then come to know that there is no objection for the remainder of the family relations. Furthermore, there is no condition that it be the last resort as indicated in the question. Among the most prominent evidence of this fact is that the Prophet (peace be upon him) married his daughter Fatima to Ali (may Allah be pleased with them) and he is the son of her father’s uncle, as well as the marriage of the Prophet himself to Zainab bint Jahsh (may Allah be please with her) and she is his aunt’s daughter (i.e. his cousin); and there are many other such examples.
However, a different question may be asked, namely: “Is it better or preferable for a Muslim to marry someone he is not related to rather than a relative?”
The answer to this question varies from case to case, and perhaps it may be preferable to marry people who are non-relations, for example if one aspires to form new social ties or bonds, and regards the existence of a marriage relationship with a different family as constructive in widening the circle of social bonds.
বিশ্বব্যাপি প্রাদুর্ভাব
সাম্প্রতিকতম গবেষণা থেকে দেখা যাচ্ছে বিশ্বের মোট জনসংখ্যার প্রায় ১০.৪ শতাংশ হয় কোন নিকটাত্মীয়ের সাথে বিবাহ বন্ধনে আবদ্ধ অথবা সমগোত্রীয় বিবাহ বন্ধনে আবদ্ধ যুগলের অপত্য (Bittles and Black 2010)[66]। North Africa, West Asia, and South India বহু জনগোষ্ঠীতে ২০ থেকে ৫০ শতাংশ বিবাহ সমগোত্রীয় বিবাহ হয়; সেখানে এই পদ্ধতিই বেশি পছন্দ করা হয়। এর মধ্যে এক তৃতীয়াংশ বিবাহ first cousin এর মধ্যে হয় (Tadmouri, Nair et al. 2009) [67]। জম্মু কাশ্মীরে সমগোত্রীয় বিবাহের প্রাদুর্ভাব প্রায় ৩০ থেকে ৫০ শতাংশ (Fareed and Afzal 2014[68], Fareed and Afzal 2014[69])। Middle East, Northern Africa, and South Asia-র বিভিন্ন দেশে সমগোত্রীয় বিবাহ সেই প্রাচীনকাল থেকেই বিদ্যমান। সেই সমস্ত দেশগুলিতে প্রথাগতভাবে এবং সামাজিকভাবে বৈধ (Bittles, Grant et al. 2002[70], Bener and Alali 2006[71])। সমগোত্রীয় বিবাহের হার Egypt-এ 68 % (Mokhtar and Abdel-Fattah 2001[72]), Jordan-এ 51–58 %, United Arab Emirates-তে 50 % (Bener et al. 1996[73]), Kuwait-এ 54 % (Al-Awadi et al. 1985[74] ; Hijazi and Haider 2001[75]), Saudi Arabia-তে 58 % (El-Hazmi et al. 1995[76]), Yemen-এ 40 % to 47 % (Jurdi and Saxena 2003[77]; Gunaid et al. 2004[78]), এবং Oman-এ 50 % (Rajab et al. 2000)[79]।
ভারতে Kerala রাজ্যের Palakkad জেলার Mudugar and Irular উপজাতির মধ্যে সমগোত্রীয় বিবাহ 78.74 % and 72.20% (Joseph and Mathew 2005[80])। দক্ষিণ ভারতের বহু অঞ্চলে বিভিন্ন জাতি ও উপজাতির মধ্যে সমগোত্রীয় বিবাহের বহুল প্রচলন আছে। ভারতে Mudugar and Irular উপজাতির মধ্যে শিশুমৃত্যুর হারও অনেক বেশী (Joseph and Mathew 2005[81])। ভারতের সমগ্র জনসংখ্যার মধ্যে সমগোত্রীয় বিবাহের হার প্রায় ২০ থেকে ৫০ শতাংশ। এবং এর প্রধান কারণ বিভিন্ন ধর্ম, বর্ণ এবং জাতির বিভাজন। এর মধ্যে মুসলিমদের মধ্যেই এই হার সব থেকে বেশী (Bittles 2002)[82]।
বাংলাদেশ একটি জনবহুল দেশ যেখানে প্রায় ১৭০ মিলিয়ন মানুষের বাস। বাংলাদেশের জনসংখ্যার ৯০% এর বেশি মুসলমান। তীব্র ধর্মীয় অনুভূতি এবং সামাজিক বন্ধন সহ এই আধা-রক্ষণশীল সমাজ সমগোত্রীয় বিবাহ সমর্থন করে। তবে এই সমগোত্রীয় বিবাহের প্রাদুর্ভাব ও তার প্রভাব সম্পর্কিত তথ্য খুব বেশী পাওয়া যায় না (Anwar, Taslem Mourosi et al. 2020)[83]।
| Disease/Condition | Country | p-values | Reference |
|---|---|---|---|
| Cancer | |||
| Different cancer types (Breast, Skin, Leukaemia and lymphoma, Colorectal, Thyroid, Female genital and Prostate cancer) | Qatar | 0.116 | Bener, El Ayoubi et al. 2009[84] |
| Thyroid cancer | Italy | <0.05 | Thomsen, Chen et al. 2016[85] |
| Cardiovascular diseases | |||
| Hypertension (systolic and diastolic blood pressure), Diabetes (Fasting blood glucose) | India | <0.001 | Fareed and Afzal 2016[86] |
| Cognitive traits | |||
| Intelligence quotient (IQ) | India | 0.0001 | Badaruddoza and Afzal 1993[87], Fareed and Afzal 2014[88] |
| Sensorineural hearing loss (SNHL) | Less developed countries (with high consanguinity rates) | NA | Smith, Bale et al. 2005[89] |
| Common Variable Immunodeficiency | |||
| Autoimmunity, Bronchiectasis, Chronic diarrhea, Granuloma | France | <0.01 | Bakri, Martel et al. 2009[90] |
| Late-onset combine immune deficiency (LOCID) | France | 0.004 | Malphettes, Gérard et al. 2009[91] |
| Lymphoma | Bakri, Martel et al. 2009[92] | ||
| Congenital heart disease (CHD) | |||
| Egypt | NA | Bassili, Mokhtar et al. 2000[93] | |
| India | <0.001 | Badaruddoza, Afzal et al. 1994[94] | |
| India | 0.0001 | Ramegowda and Ramachandra 2006[95] | |
| Iran | NS | Roodpeyma, Kamali et al. 2002[96] | |
| Israel | <0.02 | Gev, Roguin et al. 1986[97] | |
| Lebanon | <0.0001 | Nabulsi, Tamim et al. 2003[98] | |
| Lebanon | <0.001 | Yunis, Mumtaz et al. 2006[99] | |
| Lebanon | <0.0001 | Chehab, Chedid et al. 2007[100] | |
| Saudi Arabia | <0.003 | El Mouzan, Al Salloum et al. 2008[101] | |
| Saudi Arabia | <0.001 | Becker, Al Halees et al. 2001[102] | |
| Fundus albipunctatus (Mutations in RLBP1) | Pakistan | Naz, Ali et al. 2011[103] | |
| Genetic diseases | |||
| Chromosomal abnormalities, Haematologic disorders, Neuromuscular disorders and others | Egypt | NA | Shawky, Elsayed et al. 2012[104] |
| Sperm defects | Italy | 0.05 | Baccetti, Capitani et al. 2001[105] |
| Hurler disease (mucopolysaccharidosis type IH) | Tunisia | NS | Chkioua, Khedhiri et al. 2011[106] |
| Infectious diseases | |||
| Tuberculosis (TB), hepatitis and leprosy | West Africans (Gambia), India and Italy | Lyons, Frodsham et al. 2009[107] | |
| Chronic granulomatous disease (CGD) | Iran | 0.001(AR-CGD) <0.0001 (XL-CGD) | Segal, Leto et al. 2000[108] |
| Jordan | NA | Rudan, Skarić-Jurić et al. 2004[109] | |
| Mycobacterial disease | Egypt | Galal, Boutros et al. 2012[110] | |
| Malformations in Pregnancies/at Birth | Israel | 0.002 | Zlotogora and Shalev 2010[111] |
| Israel | Bromiker, Glam-Baruch et al. 2004[112] | ||
| Israel | Jaber, Merlob et al. 1992[113] | ||
| Turkey | Demirel, Kaplanoğlu et al. 1997[114] | ||
| Norway | Demirel, Kaplanoğlu et al. 1997[115] | ||
| Childhood mortality | Tunisia | 0.008 | Kerkeni, Monastiri et al. 2007[116] |
| Pakistan | 0.05 | Grant and Bittles 1997[117] | |
| Pre-eclampsia | Netherland | <0.001 | Berends, Steegers et al. 2008[118] |
| Iran | 0.014 | Anvar, Namavar-Jahromi et al. 2011[119] | |
| Neurological disorders | |||
| Amyotrophic lateral sclerosis (ALS) | Ireland | <0.01 | McLaughlin, Kenna et al. 2015[120] |
| Spinal muscular atrophy (SMA) | Pakistan | NA | Ibrahim, Moatter et al. 2012[121] |
| Primary glomerular diseases | Lebanon | NA | Karnib, Gharavi et al. 2010[122] |
| Psychiatric disorders | |||
| Mental retardation | India | NS | Sridhara Rama Rao and Narayanan 1976[123] |
| Alzheimer’s disease | India | <0.05 | Kaur and Balgir 2005[124] |
| Schizophrenia | Egypt | 0.001 | Ben Arab, Hmani et al. 2000[125] |
| Retinitis pigmentosa | Indonesia | NA | Siemiatkowska, Arimadyo et al. 2011[126] |
উপসংহার
শরদিন্দু বন্দ্যোপাধ্যায়ের “ঐতিহাসিক কাহিনী সমগ্র” বইটিতে একটি কাহিনী আছে। কাহিনীটির নাম ‘আদিম’। এই গল্পের যে নায়ক নায়িকা তাদের নাম সোমভদ্র এবং শফরী। তারা সহোদর ভাই বোন। এই গল্পের ঘটনাস্থল শরদিন্দুর ভাষায়, “প্রাচীন মিশর। আজ হইতে আনুমানিক পাঁচ হাজার বছর পূর্বে। মিশরবাসী তখন চক্রযানের ব্যাবহার জানিত না, লৌহ তখন আবিষ্কৃত হয় নাই। অশ্বের সহিত মনুষ্য জাতির পরিচয় ছিল না।” এই গল্পে সোমভদ্র ও শফরীর যৌন সম্পর্কের কথা বলা আছে। আর এটাও বলা আছে যে তাদের পিতা মাতাও ছিলেন ভাই বোন। একদম শেষে শরদিন্দু লিখছেন, “যে মানুষগুলির কাহিনী লিখিলাম, তাহারা কিন্তু আমাদের মতই মানুষ ছিল।”
সত্যি কথা। তারাও আমাদের মত মানুষই ছিলেন। কিন্তু সেকাল আর একালে তফাত আছে। আজ থেকে বহু বহু যুগ আগে মানুষ যখন উন্নত হয় নি, মানুষের যখন জ্ঞান বুদ্ধি যখন ছিল সীমিত, তখন মানুষের এই ধরণের বেশ কিছু আচার আচরণ দেখা যেত, যা আজকের সমাজে অচল এবং অপাংক্তেয়। বহুকাল পূর্বে মানুষ আন্তঃপ্রজনন তথা নিকটাত্মীয়ের মধ্যে বৈবাহিক সম্পর্কে আবদ্ধ হতেই অভ্যস্ত ছিল। তখন মানুষ ছোট ছোট জনগোষ্ঠীতে বিভক্ত, তাদের যোগাযোগের সুবিধা কম, তাদের জ্ঞান বুদ্ধি কম। কিন্তু আজ সেই পরিস্থিতি বদলেছে। আজ আমরা জানি পরবর্তী প্রজন্মের উপর আন্তঃপ্রজনন তথা নিকটাত্মীয়ের সাথে বিবাহের কি প্রভাব পড়তে পারে।
আজ বিভিন্ন দেশ এই সমস্যার গুরুত্ব অনুধাবন করে আন্তঃপ্রজনন তথা নিকটাত্মীয়ের মধ্যে বৈবাহিক সম্পর্ক হয় নিষিদ্ধ করেছে অথবা এই রীতির প্রচলন সীমিত করার প্রচেষ্টা করছে। USA-তে রাজ্য স্তরে, the Peoples Republic of China, Taiwan, the Republic of Korea and the Democratic People’s Republic of Korea এই ধরণের সম্পর্কের উপর বিধিনিষেধ আরোপ করেছে। Arizona, Mississippi, Nevada, North Dakota, Oklahoma, South Dakota, Texas, Utah and Wisconsin এই সমস্ত রাজ্যগুলিতে ‘first-cousin marriage’ একটি ফৌজদারি অপরাধ বলে গণ্য হয়।

Philippines-ও বিভিন্ন আইন প্রনয়নের দ্বারা নিকটাত্মীয়ের মধ্যে বৈবাহিক সম্পর্ক নিয়ন্ত্রন করে। Hindu Marriage Act of 1955 এর দ্বারা চাচা-ভাতিজি সম্পর্ক নিষিদ্ধ করা হলেও, দক্ষিণ ভারতে এই প্রথার বহুল প্রচলনের জন্য Hindu Code Bill of 1984-এ এই আইন খানিক শিথিল করা হয়।
এখানে একটা প্রশ্ন এসেই যায়। আন্তঃপ্রজননের প্রভাব সম্পর্কে কি আধুনিক বিজ্ঞানই কি আমাদের প্রথম অবগত করলো? উত্তরটা হোল, না। প্রাচীনকালেও মানুষ আন্তঃপ্রজননের প্রভাব পর্যবেক্ষণ করেছে। এই কারণেই বিভিন্ন হিন্দু ধর্ম শাস্ত্রে এই প্রথাকে অবৈধ হিসাবে ঘোষণা দেওয়া হয়েছে। পরবর্তীকালে ধর্মের বেড়াজালে আবদ্ধ হয়ে একরকম taboo-তে। যারা যারা এই ধরণের সম্পর্কে আবদ্ধ হয়েছেন তারা সমাজ থেকে বহিষ্কৃত হয়েছেন। এর কারণ, সেই সময় মানুষ বিভিন্ন ঘটনা পর্যবেক্ষণ করেছেন ঠিকই, কিন্তু সঠিক কার্যকারণ সম্পর্কে অবগত ছিলেন না। তাই সমাজে আন্তঃপ্রজনন প্রথা বন্ধ করার জন্য কোন দৈবিক গল্পের সাহায্য নিতে হয়েছে অথবা ঈশ্বরের বিধান তথা ঈশ্বরের বাণী বলে প্রচার করতে হয়েছে, যাতে সাধারণ মানুষ প্রশ্ন করার বা challenge করার সাহস না পায়।
আরও একটা স্বাভাবিক প্রশ্ন এসেই যায়। সেটা হোল, এর কোন বিরুদ্ধ বক্তব্য কি নেই? উত্তর হোল: হ্যাঁ , আছে। এমন কথা অনেকেই বলেছেন যে, বিভিন্ন দুর্লভ, হানিকারক বংশগত রোগ আন্তঃপ্রজননের মাধ্যমে ধীরে ধীরে নিশ্চিহ্ন হয়ে যায়। তার কারণ হিসাবে তারা বলেছেন, আন্তঃপ্রজনন এই প্রচ্ছন্ন গুণগুলিকে প্রকট করে তোলে এবং প্রজননে অক্ষম অপত্যের মৃত্যুর ফলে এই বৈশিষ্ট্যগুলি ধীরে ধীরে লোপ পায়। তারা আরও বলেছেন যে দূর সম্পর্কে বিবাহ করলে এই গুণগুলি প্রচ্ছন্ন ভাবে বংশ পরম্পরায় প্রবাহিত হতে থাকে। এই যুক্তি দেখতে যতই ভালো মনে হোক বাস্তবে প্রয়োগ করা যায় না। তার কারণ এই পদ্ধতিতে বহু মানুষের মৃত্যুর আশাঙ্কা যেমন থাকে, তেমনি সমাজে বিভিন্ন রোগের প্রাদুর্ভাবও (disease load) বাড়তে থাকে। তাছাড়া এই প্রছন্ন গুণগুলি অনেক আপাত দৃষ্টিতে সুস্থ ব্যক্তির মধ্যেও প্রবাহিত হতে থাকবে। তাই আন্তঃপ্রজনন রীতি অব্যাহত রাখলে উপকারের চেয়ে ক্ষতির সম্ভাবনা থাকবে অনেক বেশী। শুধু তাই নয়, এই আন্তঃপ্রজননের মাধ্যমে এই ভাবে বিভিন্ন ক্ষতিকারক প্রচ্ছন্ন বৈশিষ্ট্য নিরসন করতে গেলে কৃত্রিমভাবে নারী পুরুষের যুগল চয়ন করতে হবে, যা বাস্তবে প্রায় অসম্ভব।
বিভিন্ন বিজ্ঞান ভিত্তিক পরীক্ষা নিরীক্ষার মাধ্যমে আমাদের সামনে আজ বহু তথ্য প্রমান আছে। আমাদের কাছে বিভিন্ন তত্ত্ব আছে যার সাহায্যে সঠিক ভাবে কার্যকারণ ব্যাখ্যা করতে পারি। আজ আমরা জানি বংশগতি এবং বিবর্তন কিভাবে কাজ করে। আমরা যেমন নিকটাত্মীয়ের সাথে বিবাহের ফলে পরবর্তী প্রজন্মের উপর কুপ্রভাবের কথা যেমন জানি, তেমনি এটাও জানি দূর সম্পর্কে বিবাহ হলে তার ফলে উৎপন্ন genetic variation এর সুবিধা।
শেষ করার আগে শুধু এটুকুই বলার যে, আজ আমরা প্রাচীন কালের মত সেই ক্ষুদ্র গণ্ডীতে আবদ্ধ নই। তাই সেই প্রাচীন রীতিনীতির পালনের প্রয়োজনীয়তা ফুরিয়েছে। তবুও ধর্ম-বর্ণ-দেশ নির্বিশেষে বিভিন্ন জনগোষ্ঠীতে আজও এই রীতির প্রচলন আছে। তার প্রধান কারণ ধর্মের বিধান, ধর্মীয় রীতির অন্ধ অনুকরণ, পণপ্রথা ইত্যাদি ইত্যাদি ইত্যাদি। কিন্তু আজ আমাদের কাছে বহু তথ্য প্রমান আছে এবং পরিষ্কার ধারণা আছে বংশগতি কিভাবে কাজ করে, কিভাবে বিভিন্ন gene প্রজন্মের পর প্রজন্মে বংশগত বৈশিষ্ট্য নির্ধারণ করে। আমাদের কাছে পরীক্ষালব্ধ ফলাফল আছে, যা চোখে আঙ্গুল দিয়ে দেখিয়ে দেয় আন্তঃপ্রজনন তথা নিকটাত্মীয় সম্পর্কে বিবাহের ফলে উৎপন্ন প্রজন্মের উপর তার বিরূপ প্রভাব। তাই আজ সমস্যার গভীরে গিয়ে একটু চিন্তা ভাবনা করার সময় এসেছে। ‘মানি না’ বলে এক কথায় সমস্ত তথ্য প্রমান নস্যাৎ করে দেওয়া যায় ঠিকই, কিন্তু এটাও খেয়াল রাখতে হবে যে পরবর্তী প্রজন্ম হয়ত সেই অজ্ঞতা ও অবজ্ঞার এক সুবিশাল মূল্য পরিশোধ করবে।
পরিশিষ্ট: Mendel প্রবর্তিত বংশগতি তত্ত্ব
উনবিংশ শতাব্দীর মধ্যভাগ পর্যন্ত বংশগতি ব্যাপারটা এমন একটা তরল হিসাবে ধারণা করা হত, যে তরল পিতা ও মাতার থেকে প্রাপ্ত বৈশিষ্ট্যগুলিকে মিশ্রিত করে একটি অন্তর্বর্তী প্রজন্মের জন্ম দেয়। এই ধারণাটি আপাত দৃষ্টিতে দেখা বিভিন্ন পর্যবেক্ষণের সাথেও বেশ খাপ খেয়ে যেত। কিন্তু অসুবিধা দেখা দিল, যখন Darwin প্রাকৃতিক নির্বাচনের মাধ্যমে বিবর্তনের ধারণা নিয়ে এলেন। বংশগত বৈশিষ্ট্যের মিশ্রণ হলে, নতুন উদ্ভূত বৈশিষ্ট্যগুলি কয়েক প্রজন্মের পরেই বিলুপ্ত হয়ে যাবার কথা। কিন্তু পর্যবেক্ষণ তার বিপরীতে যায়। Gregor Mendel মটর গাছের উপর বিখ্যাত পরীক্ষায় এই ধারণা নাকচ করে দেন। Mendel তার পরীক্ষার ফলাফল প্রকাশ করেন ১৮৬৬ খৃষ্টাব্দে। কিন্তু ১৯০০ খৃষ্টাব্দের পর এই ধারণা জনপ্রিয়তা পায়।

1822 সালে তৎকালীন Astro-Hungarian সাম্রাজ্যের অধীনে Moravia তে জন্মগ্রহণ করেন গ্রেগর জোহান মেন্ডেল (Gregor Johan Mendel)। মেন্ডেল হাই স্কুলের পড়াশোনা শেষ করে শহরে Augustonian monastery of St. Thomas-এ যোগদান করেন। এই প্রতিষ্ঠান তৎকালীন সময়ে বিজ্ঞান চর্চা ও গবেষণার জন্য উৎসর্গীকৃত ছিল। আর সেই উদ্দেশ্যে তাঁকে Vienna বিশ্ববিদ্যালয় পাঠানো হয় কিছু শিক্ষাগত যোগ্যতা অর্জনের জন্য, কিন্তু কোনও কারণে তিনি পরীক্ষায় অকৃতকার্য হন। আর কোন উপায়ন্তর না থাকায় আবার monastery-তেই ফিরে আসতে হয়। কিন্তু তখন কেউ এটা আশা করেনি যে এই ব্যক্তি পরবর্তীকালে modern genetics এর জনক বলে বিবেচিত হবেন। এই ব্যক্তি এমন এক বৈজ্ঞানিক পরীক্ষা পর্যবেক্ষণ করবেন যার ফলাফল সম্পর্কে পরবর্তীকালে কিছু পরিসংখ্যানবিদ সন্দেহ প্রকাশ করবেন এবং কোনো অসঙ্গতি না খুঁজে পেয়ে একে বলে আখ্যা দেবেন “Mendel’s Paradox” হিসাবে। এই ব্যক্তি বিজ্ঞানের এক নতুন দিগন্ত খুলে দেবেন।
মেন্ডেল সেই সময়ে যেভাবে নিজের পরীক্ষা ও পর্যবেক্ষণের জন্য নিজের study design সাজিয়েছিলেন, তা সত্যিই ভূয়সী প্রশংসার দাবি রাখে। তিনি অতি নিপুণভাবে study sample শনাক্ত করেন। একটা দুটো নয়, অসংখ্য তথ্য সংগ্রহ করেন। সেই তথ্যের উপর গাণিতিক বিশ্লেষণ করেন। তারপর সেই সব পরীক্ষার ফলাফলের উপর ভিত্তি করে তাঁর তত্ত্ব দাঁড় করান। এই পুরো ব্যাপারটা সময় সাপেক্ষ হলেও তিনি ধৈর্য হারান নি। তাড়াহুড়ো করে কোন সিদ্ধান্তে উপনীত হন নি।
মেন্ডেল, তাঁর এই পরীক্ষাটির জন্য মটর গাছকে বেছে নেন, যার বিজ্ঞানসম্মত নাম Pisum sativum (পাইসাম সাটিভাম)। এই প্রজাতির মটরগাছ সনাক্ত করার পেছনে প্রধান দুটি কারণ ছিল। প্রথমতঃ এই মটর গাছের দানা সহজলভ্য। আর দ্বিতিয়তঃ এই একই প্রজাতির গাছ (Pisum sativum) হলেও বিভিন্ন প্রকারের এবং বিভিন্ন গুনের বৈচিত্র পরিলক্ষিত হয়। উদাহরণস্বরূপ বলা যেতে পারে, কোন গাছ লম্বা, কোন কাজ খর্বকায়, কোন গাছের মটরদানা হলুদ, কোন গাছের মটরদানা সবুজ, কোন গাছের মটরদানা একদম গোল, কোনটার আবার কুঞ্চিত, কোন গাছের ফুলটা আবার বেগুনি। কিন্তু সবকটি একই প্রজাতির অন্তর্ভুক্ত (Pisum sativum)। আরো একটি গুরুত্বপূর্ণ বৈশিষ্ট্য হলো একই গাছে কোন দুটি বৈশিষ্ট্য একসাথে দেখা যায় না, অর্থাৎ একই গাছের মটরদানা গুলো একই সাথে সবুজ এবং হলুদ হয় না, অথবা একই গাছে একসাথে সাদা এবং নীল ফুল হয় না। মোদ্দা কথাটা হল, এই বৈশিষ্ট্যগুলি আলাদা আলাদা থাকে।
আরও একটি বিশেষ প্রধান কারণ ছিল এই যে, এই মটরগাছগুলিতে ‘স্ব’ (self) অথবা ‘সঙ্কর’ (cross) পদ্ধতিতে নিষেক ঘটানো সম্ভব (অযৌন জনন নয় কিন্তু)। এই প্রজাতির মটর গাছে ফুল হয় তাতে পুংদন্ড এবং স্ত্রীধানী উভয়ই থাকে। তাই নিষেকের সময় নিজের পরাগরেনু দিয়েও যেমন নিষেক সম্ভব, অপর গাছের পরাগরেনু দ্বারাও নিষেক সম্ভব।এই বৈশিষ্ট্যটা কিভাবে এই পরীক্ষার জন্য গুরুত্বপূর্ণ ভূমিকা পালন করলো সেটা একটু পরেই বোঝা যাবে।
এছাড়াও আরো কতগুলো সুবিধা হল, গাছগুলো ছোট, বেশি জায়গা নেয় না। মাত্র এক বছর বাঁচে, তার আগেই ফল পাওয়া যায়, তাই খুব বেশিদিন অপেক্ষা করতে হয় না। অনেক ফলও হয়, তাই অপত্যের সঙ্খ্যাও অনেক বেশি। তাই পরীক্ষালব্ধ ফলের উপর গাণিতিক বিশ্লেষণ করাও তাই সহজ। মেন্ডেল এইরকম সাত পাঁচ ভেবে, এই সাতটি character বা বৈশিষ্ট্যকে বেছে নিলেন। এখানে character কথার অর্থ হল একটি জীবের নির্দিষ্ট কিছু বৈশিষ্ট্য। Genetics এ প্রায় একই সমার্থক শব্দ। “Characteristic” কথাটা ব্যবহার করা হয়। তবে মেন্ডেল সে ব্যাপারে কিছুই জানতেন না। কারণ জেনেটিক্সের সূত্রপাত তার গবেষণার পরে।

Mendel তার পরীক্ষার শুরুতেই উপরোক্ত বিভিন্ন বৈশিষ্ট্য সম্পন্ন “বিশুদ্ধগুণ” যুক্ত মটর গাছের নমুনা তৈরি করেন। প্রতিটি গাছে যে বিশুদ্ধ যুক্ত তা নিশ্চিত করার জন্য পরপর দুই থেকে তিনবার তাদের অপত্য উৎপাদন করেন। কোন অপত্যেই যখন অন্য কোন ধরণের গুণাবলী আর দেখা যায় না, তখন সেই নমুনাটি কে নির্বাচন করেন। উদাহরণস্বরূপ ধরা যাক, আমরা পরীক্ষা করব একটি বৈশিষ্ট্য নিয়ে, আর সেটি হল ফুলের রং। ফুলের রং দুই রকম হতে পারে বেগুনি আর সাদা। যদি এই দুই গুণাবলীর সঙ্কর ঘটাতে হয়। তাহলে প্রথমে দুটি গাছ নিতে হবে যার একটিতে সাদা এবং অপরটিতে বেগুনি ফুল হয়। আর আরো নিশ্চিত করতে হবে যে, প্রতিটি গাছ তারা ওই গুণাবলীর জন্য বিশুদ্ধ গুণসম্পন্ন। অর্থাৎ প্রতিটি গাছ যখন স্ব-পরাগযোগ পদ্ধতিতে অপত্য জন্ম দেবে, তখন অপত্য একই বৈশিষ্ট্য সম্পন্ন হবে (যে গাছে সাদা ফুল হয় তাদের প্রতিটি ক্ষেত্রে ফুল সাদা হবে)। মেন্ডেল এই ব্যাপারটা নিশ্চিত করার জন্য প্রতিটি গাছের একাধিকবার অপত্য উৎপাদন করেন স্ব-পরাগ সংযোগ পদ্ধতিতে। আর তার জন্য তিনি গাছের ফুলগুলিকে ঢেকে দিতেন। এইভাবে বিশুদ্ধ গুণসম্পন্ন নমুনা সংগ্রহ করার পর শুরু হল মেন্ডেলের আসল পরীক্ষা।
পরীক্ষা শুরুর আগেই অসাধারণ বিচক্ষণতার পরিচয় দিয়ে মেন্ডেল একটি প্রাথমিক মান নির্ণয় করে নিলেন। এর ফলে পরবর্তী যা ফলাফল পাওয়া যাবে তার একটা বৈজ্ঞানিক গুরুত্ব থাকবে। ওই সময়ে এত সুন্দর ভাবে একটা বৈজ্ঞানিক পরীক্ষা সংগঠিত করা সত্যিই প্রশংসার দাবি রাখে। প্রতিটি গুণাবলীর জন্য আলাদা আলাদাভাবে এই বিশুদ্ধ গুণসম্পন্ন মটর গাছ উৎপন্ন হলো।
অতঃপর প্রতিটি বৈশিষ্ট্যের (অর্থাৎ মটরদানার আকৃতি, মটরদানার রঙ, মটর ফলের আকৃতি, কাঁচা মটর ফলের রঙ, ফুলের অবস্থান, ফুলের রং এবং মটর গাছের উচ্চতা) জন্য বিরুদ্ধ গুণাবলীর জোড়া তৈরি হলো। (এখানে বিরুদ্ধ গুণাবলী অর্থাৎ মটরদানার রঙ “হলুদ” ও “সবুজ” মটরদানার আকৃতি গোল এবং কুঞ্চিত, ফুলের রঙ সাদা অথবা বেগুনি ইত্যাদি, আগেই উল্লেখ করা হয়েছে)। এই বিরুদ্ধ গুণাবলিকে পরবর্তীকালে “ফেনোটাইপ” (phenotype) বলে আখ্যায়িত করা হয়।
এইবার শুরু করা যায় আসল পরীক্ষা। মেন্ডেল প্রথমেই একটি বেগুনি ফুল গাছের পরাগরেণু নিয়ে সাদাফুল যুক্ত একটি মটর গাছের পরাগ সংযোগ ঘটালেন। দেখা গেল, যে বীজগুলো পাওয়া গেল সেখান থেকে উৎপন্ন হওয়া প্রতিটি মটরগাছের ফুলগুলো বেগুনি। এই প্রথমবার অপত্য উৎপাদনকে বলা হয় ‘First filial generation’, তাই ‘F1’ এর দ্বারা অভিহিত করা হয়। এবার মেণ্ডেল সাদা ফুলযুক্ত একটি মটর গাছের পরাগরেণু নিয়ে একটি বেগুনি ফুলযুক্ত মটর গাছের সাথে পরাগ সংযোগ ঘটালেন। ফল হলো সেই একই। F1 generation-এ সব গাছের ফুলগুলি বেগুনি। অর্থাৎ কোন গুণাবলিকে পুরুষ আর কোন গুণাবলিকে হিসেবে গণ্য করে নিষেক ঘটবে তার উপর ফলাফলের হেরফের ঘটে না।
পরাগ সংযোগ ঘটা থেকে বাধা দেওয়ার জন্য গাছগুলির পুং-দণ্ডটি আলাদা করে দিতেন। আর পরাগ সংযোগ ঘটানোর পর ফুলগুলিকে ঢেকে রাখতেন। এই পদ্ধতি দ্বারা এটা নিশ্চিত হত যে, আর অন্য কোন ভাবেই যেন পরাগ সংযোগ না ঘটে, আর পরীক্ষা পদ্ধতিতে যেন কোন বিকৃতি না আসে।
পরবর্তী ধাপে তিনি F1-এ পাওয়া গাছগুলির স্ব-পরাগযোগ ঘটালেন। তিনি প্রথম থেকেই ফুলগুলি আবৃত করে রাখতেন। ফলস্বরুপ পরাগধানী থেকে পরাগরেণু সেই ফুলেরই গর্ভাধানকে নিষিক্ত করত। এই পদ্ধতিতে তিনি ৯২৯ টি মটর বীজ পেলেন। সেই বীজ থেকে যে চারা বেরল, তাদের অধিকাংশ গাছের ফুল বেগুনী হোল ঠিকই, কিন্তু কতগুলো গাছের ফুল সাদা হলো।
এখান থেকে এই সিদ্ধান্তে আসা যায় যে, প্রথম F1 প্রজন্মে ফুলের সাদা গুনটি সামনে না এলেও, পরবর্তী F2 প্রজন্মে কতগুলো গাছের মধ্যে সেই গুনটি আবার ফিরে এসেছে। ২৯ টি গাছের মধ্যে গাছের ফুল সাদা আর ২২৪ টি গাছের ফুল বেগুনী বর্ণের। অর্থাৎ বেগুনী আর সাদা ফুলের গাছের অনুপাত ৩:১ (প্রায়)।
মেন্ডেল এখানেই থেমে থাকলেন না। বাকি যে ছয়টি বিরুদ্ধ গুণাবলীর বৈশিষ্ট্যের জোড়া পেয়েছিলেন, তাদের নিয়েও একই পরীক্ষা করে একই ফলাফল পেলেন।
মেন্ডেল F1 ও F2 প্রজন্মের প্রতিটি উদ্ভিদ খুবই পুঙ্খানুপুঙ্খভাবে বিশ্লেষণ করলেন। তিনি দেখলেন প্রতি ক্ষেত্রে F1 প্রজন্মে একটি গুণ চাপা পড়ে যায় (যেমন সাদা ফুল)। কিন্তু পরবর্তী প্রজন্মে গিয়ে আবার সেটি প্রকট হয়ে আসে। তাই এই নীল বৈশিষ্টকে প্রকটগুণ আর সাদা বৈশিষ্ট্যের নাম দিলেন প্রচ্ছন্ন গুণ। অর্থাৎ এই নীল ফুলের গুনটি ‘সাদা’ বৈশিষ্টকে ঢেকে রাখতে পারে।
বাকি পরীক্ষায় দেখা গেল, কুঞ্চিত মটরের দানা, সবুজ রঙের মটরের দানা, কুঞ্চিত মটর ফল, হলুদ মটর ফল, মটর গাছের শীর্ষে ফুলের অবস্থান, খর্বাকৃতি মটরগাছ এই সবকটি গুণাবলী F1 প্রজন্মে প্রচ্ছন্ন থাকে, আবার পরবর্তী F2 প্রজন্মে আবার ৩:১ এই অনুপাতে প্রত্যাবর্তন করে। অর্থাৎ এই গুনগুলি প্রচ্ছন্ন গুণ। পরবর্তীকালে Reginald Punnett বর্গাকারে এই বৈশিষ্ট্যগুলো কে প্রকাশ করেন। পরবর্তী ধাপে যাবার আগে দেখে নেওয়া যাক।

এখানে (Figure 3) লম্বা গুণসম্পন্ন মটর গাছ কে TT দিয়ে বোঝানোর কারণ এই মটরগাছগুলি যখন Gamete অর্থাৎ জনন কোষ (শুক্রানু বা ডিম্বাণু) তৈরি করে তখন প্রত্যেকে একটি করে T গুণ পরিবাহিত হয়। বড় হাতের অক্ষর বোঝায় প্রকট গুন। আর একজোড়া ‘T’ থাকার কারণ প্রতিটি কোষে এই বৈশিষ্ট্য বহনকারী দুটি ক্রোমোজোম (chromosome) থাকে। এই বৈশিষ্ট্যগুলিকে allele বলে। এখন খর্বাকৃতির ক্ষেত্রে ‘tt’ ব্যবহার করার কারণ, এটি প্রচ্ছন্ন গুণ।
এইবার দ্বিতীয় ধাপে মেন্ডেল স্ব-পরাগযোগ সংঘটিত করেন।

এখানে ‘TT’ হল বিশুদ্ধ লম্বা মটর গাছ। আর ‘tt’ হল বিশুদ্ধ খর্বাকৃতি মটরগাছ। আর ‘Tt’ হলো লম্বা কিন্তু সংকর। Punnett Square দ্বারা ব্যাপারটা একটু সহজে দেখানো যায় (Figure 5)।

এই পরীক্ষা এবার আরও একধাপ এগিয়ে নিয়ে গেলেন। এবার দুটি ভিন্ন বৈশিষ্ট্য স্মরণ করলেন। একটি বৈশিষ্ট্য হলো মটরদানার আকৃতি, আরেকটি মটরদানার রং। মটরদানার আকৃতি গোল (RR) আর কুঞ্চিত (rr); এবং মটরদানার রং হলুদ (YY) এবং সবুজ (yy) গুণাবলিকে পছন্দ করলেন। প্রথমেই দুটি ভিন্ন মটরগাছ নিলেন যাদের একটির মটরদানা বিশুদ্ধ গোল এবং হলুদ গুণসম্পন্ন; এবং অপরটির বিশুদ্ধ কুঞ্চিত এবং সবুজ গুণসম্পন্ন। সঙ্কর ঘটানোর দেখা গেল F1 প্রজন্মে প্রত্যেকটি উদ্ভিদের মটরদানা গোল এবং হলুদ রঙের।

অর্থাৎ প্রথম উৎপন্ন হওয়া প্রতিটি উদ্ভিদ হল ‘RrYy’ বা গোল এবং হলুদ মটরের দানা বিশিষ্ট। দ্বিতীয় প্রজন্মের সংকরায়নের পর গোল হলুদ, গোল সবুজ, কুঞ্চিত হলুদ, কুঞ্চিত সবুজ এর অনুপাত 9:3:3:1 (Figure 6)।
মেন্ডেল এই পরীক্ষার ফলাফল হিসেবে এই সিদ্ধান্তে এলেনঃ
- প্রথম সুত্র (law of segregation): কোন জীবের এক জোড়া বিপরীতধর্মী গুণ একটি প্রজন্ম থেকে অপর প্রজন্মে সঞ্চারিত হবার সময় একত্রিত হলেও তারা মিশ্রিত হয় না। বরং জননকোষ গঠনকালে ঐ গুণাবলী আবার পৃথক হয়ে যায়।
- দ্বিতীয় সুত্র (law of independent assortment): কোন জীবের দুই বা ততোধিক যুগ্ম বিপরীতধর্মী গুণগুলি এক প্রজন্ম থেকে পরবর্তী প্রজন্মে সঞ্চারিত হবার সময় একত্রিত হলেও শুধু যে জননকোষ গঠনকালেই তারা পৃথক হয় তাই নয়, প্রত্যেকটি গুণ স্বাধীনভাবে যেকোনো বিপরীত গুনের সাথে সাম্ভাব্য সমস্ত ধরণের সমন্বয়ে সঞ্চারিত হয়।
- তৃতীয় সুত্র (The Law of Dominance): একই gene-এর বিভিন্ন প্রতিলিপি বা allele থাকতে পারে, যা কোনটি প্রকট গুণ আর কোনটি প্রচ্ছন্ন গুণ। প্রকট গুনগুলি বাহ্যিক বহিপ্রকাশের সম্ভাবনা বেশি থাকে।
তথ্যসূত্রঃ
- Alvarez, G., F. C. Ceballos and C. Quinteiro (2009). “The role of inbreeding in the extinction of a European royal dynasty.” PLoS One 4(4): e5174 ↩︎
- The History of Human Marriage by Edward Westermarck ↩︎
- Bundey, S. and H. Alam, A five-year prospective study of the health of children in different ethnic groups, with particular reference to the effect of inbreeding. Eur J Hum Genet, 1993. 1(3): p. 206-19. ↩︎
- Stoltenberg, C., et al., Birth defects and parental consanguinity in Norway. Am J Epidemiol, 1997. 145(5): p. 439-48. ↩︎
- Salway, S., et al., Responding to the increased genetic risk associated with customary consanguineous marriage among minority ethnic populations: lessons from local innovations in England. J Community Genet, 2016. 7(3): p. 215-28. ↩︎
- Islam, M.M., Effects of consanguineous marriage on reproductive behaviour, adverse pregnancy outcomes and offspring mortality in Oman. Ann Hum Biol, 2013. 40(3): p. 243-55. ↩︎
- Islam, M. M. (2013). “Effects of consanguineous marriage on reproductive behaviour, adverse pregnancy outcomes and offspring mortality in Oman.” Ann Hum Biol 40(3): 243-255. ↩︎
- Fareed, M. and M. Afzal (2014). “Evidence of inbreeding depression on height, weight, and body mass index: a population-based child cohort study.” Am J Hum Biol 26(6): 784-795. ↩︎
- Fareed, M. and M. Afzal, Genetics of consanguinity and inbreeding in health and disease. Ann Hum Biol, 2017. 44(2): p. 99-107. ↩︎
- Bittles, A., Consanguinity and its relevance to clinical genetics. Clin Genet, 2001. 60(2): p. 89-98. ↩︎
- Anwar, W.A., M. Khyatti, and K. Hemminki, Consanguinity and genetic diseases in North Africa and immigrants to Europe. Eur J Public Health, 2014. 24 Suppl 1: p. 57-63. ↩︎
- Huber, C.D., et al., Gene expression drives the evolution of dominance. Nat Commun, 2018. 9(1): p. 2750. ↩︎
- Fareed, M. and M. Afzal (2015). “Inbreeding Depression and Autosomal Recessive Disorders in Humans.” Hereditary Genetics: Current Research S6: e001. ↩︎
- Fareed, M. and M. Afzal (2015). “Inbreeding Depression and Autosomal Recessive Disorders in Humans.” Hereditary Genetics: Current Research S6: e001. ↩︎
- Bellad, M. B., S. S. Goudar, S. A. Edlavitch, N. S. Mahantshetti, V. Naik, J. J. Hemingway-Foday, M. Gupta, H. R. Nalina, R. Derman, N. Moss and B. S. Kodkany (2012). “Consanguinity, prematurity, birth weight and pregnancy loss: a prospective cohort study at four primary health center areas of Karnataka, India.” Journal of Perinatology 32(6): 431-437 ↩︎
- Tayebi, N., K. Yazdani and N. Naghshin (2010). “The prevalence of congenital malformations and its correlation with consanguineous marriages.” Oman Med J 25(1): 37-40. ↩︎
- Hamamy, H. (2012). “Consanguineous marriages : Preconception consultation in primary health care settings.” J Community Genet 3(3): 185-192. ↩︎
- Temtamy, S. and M. Aglan (2012). “Consanguinity and genetic disorders in Egypt.” Middle East Journal of Medical Genetics 1: 12–17. ↩︎
- Anwar, W. A., M. Khyatti and K. Hemminki (2014). “Consanguinity and genetic diseases in North Africa and immigrants to Europe.” Eur J Public Health 24 Suppl 1: 57-63. ↩︎
- Bener, A., R. Hussain and A. S. Teebi (2007). “Consanguineous marriages and their effects on common adult diseases: studies from an endogamous population.” Med Princ Pract 16(4): 262-267. ↩︎
- Bener, A., J. Al-Suwaidi, K. Al-Jaber, S. Al-Marri, M. H. Dagash and I. E. Elbagi (2004). “The prevalence of hypertension and its associated risk factors in a newly developed country.” Saudi Med J 25(7): 918-922. ↩︎
- Denic, S., A. Bener, S. Sabri, F. Khatib and J. Milenkovic (2005). “Parental consanguinity and risk of breast cancer: a population-based case-control study.” Med Sci Monit 11(9): CR415-419. ↩︎
- Bener, A. and I. Janahi (2005). “Association between childhood atopic disease and parental atopic disease in a population with high consanguinity.” Coll Antropol 29(2): 677-682. ↩︎
- Bener, A., A. A. Eihakeem and K. Abdulhadi (2005). “Is there any association between consanguinity and hearing loss.” Int J Pediatr Otorhinolaryngol 69(3): 327-333. ↩︎
- Bener, A., M. Zirie and A. Al-Rikabi (2005). “Genetics, obesity, and environmental risk factors associated with type 2 diabetes.” Croat Med J 46(2): 302-307. ↩︎
- El-Menyar, A. A., A. Bener, M. T. Numan, S. Morcos, R. Y. Taha and J. Al-Suwaidi (2006). “Epidemiology of idiopathic cardiomyopathy in Qatar during 1996-2003.” Med Princ Pract 15(1): 56-61. ↩︎
- Bener, A. and R. Hussain (2006). “Consanguineous unions and child health in the State of Qatar.” Paediatr Perinat Epidemiol 20(5): 372-378. ↩︎
- Daghash, M. H., A. Bener, M. Zirie, W. Dabdoob, A. O. Al-Hamaq and Z. A. Al-Arabi (2007). “Lipoprotein profile in Arabian type 2 diabetic patients. Relationship to coronary artery diseases.” Int J Cardiol 121(1): 91-92. ↩︎
- Bener, A., M. Zirie, M. Daghash, A. Al-Hamaq, G. Daradkeh and A. Rikabi (2007). “Lipids, lipoprotein (a) profile and HbA1c among Arabian Type 2 diabetic patients.” Biomedical Research 18. ↩︎
- Bener, A., R. Hussain and A. S. Teebi (2007). “Consanguineous marriages and their effects on common adult diseases: studies from an endogamous population.” Med Princ Pract 16(4): 262-267. ↩︎
- Ehlayel, M. S. and A. Bener (2008). “Duration of breast-feeding and the risk of childhood allergic diseases in a developing country.” Allergy Asthma Proc 29(4): 386-391. ↩︎
- Bener, A., H. S. Al-Mahdi, F. Warid and S. M. Darwish (2008). “Risk factors for low vision in elderly people in a rapidly developed society.” Asian Journal of Ophthalmology 10: 126-129. ↩︎
- Bener, A., R. Al Qahtani, A. S. Teebi and M. Bessisso (2008). “The prevalence of attention deficit hyperactivity symptoms in schoolchildren in a highly consanguineous community.” Med Princ Pract 17(6): 440-446. ↩︎
- Bener, A., A. Salahaldin, S. Darwish, A. Al-Hamaq and L. Gansan (2008). “Association between hearing loss and Type 2 Diabetes Mellitus in elderly people in a newly developed society.” Biomedical Research 19: 187-193. ↩︎
- Bener, A., A. Alsaied, M. Al-Ali, A. S. Hassan, B. Basha, A. Al-Kubaisi, A. Abraham, M. Mian, G. Guiter and I. Tewfik (2008). “Impact of lifestyle and dietary habits on hypovitaminosis D in type 1 diabetes mellitus and healthy children from Qatar, a sun-rich country.” Ann Nutr Metab 53(3-4): 215-222. ↩︎
- Bener, A., M. Al-Ali and G. F. Hoffmann (2009). “Vitamin D deficiency in healthy children in a sunny country: associated factors.” Int J Food Sci Nutr 60 Suppl 5: 60-70. ↩︎
- Bener, A., A. Alsaied, M. Al-Ali, A. Al-Kubaisi, B. Basha, A. Abraham, G. Guiter and M. Mian (2009). “High prevalence of vitamin D deficiency in type 1 diabetes mellitus and healthy children.” Acta Diabetol 46(3): 183-189. ↩︎
- Badii, R., A. Bener, M. Zirie, A. Al-Rikabi, M. Simsek, A. O. Al-Hamaq, M. Ghoussaini, P. Froguel and N. J. Wareham (2008). “Lack of association between the Pro12Ala polymorphism of the PPAR-gamma 2 gene and type 2 diabetes mellitus in the Qatari consanguineous population.” Acta Diabetol 45(1): 15-21. ↩︎
- Bener, A., M. Zirie, I. M. Janahi, A. O. Al-Hamaq, M. Musallam and N. J. Wareham (2009). “Prevalence of diagnosed and undiagnosed diabetes mellitus and its risk factors in a population-based study of Qatar.” Diabetes Res Clin Pract 84(1): 99-106. ↩︎
- Bener, A., H. R. El Ayoubi, L. Chouchane, A. I. Ali, A. Al-Kubaisi, H. Al-Sulaiti and A. S. Teebi (2009). “Impact of consanguinity on cancer in a highly endogamous population.” Asian Pac J Cancer Prev 10(1): 35-40. ↩︎
- Bener, A., M. Zirie, M. Musallam, Y. S. Khader and A. O. Al-Hamaq (2009). “Prevalence of metabolic syndrome according to Adult Treatment Panel III and International Diabetes Federation criteria: a population-based study.” Metab Syndr Relat Disord 7(3): 221-229. ↩︎
- Priya, S., S. Nampoothiri, P. Sen and S. Sripriya (2016). “Bardet-Biedl syndrome: Genetics, molecular pathophysiology, and disease management.” Indian J Ophthalmol 64(9): 620-627 ↩︎
- Hakami, W. S., K. J. Hundallah and B. M. Tabarki (2019). “Metabolic and genetic disorders mimicking cerebral palsy.” Neurosciences (Riyadh) 24(3): 155-163 ↩︎
- Claerhout, H., P. Witters, L. Régal, K. Jansen, M. R. Van Hoestenberghe, J. Breckpot and P. Vermeersch (2018). “Isolated sulfite oxidase deficiency.” J Inherit Metab Dis 41(1): 101-108 ↩︎
- Sarri, C. A., A. Roussaki-Schulze, Y. Vasilopoulos, E. Zafiriou, A. Patsatsi, C. Stamatis, P. Gidarokosta, D. Sotiriadis, T. Sarafidou and Z. Mamuris (2017). “Netherton Syndrome: A Genotype-Phenotype Review.” Mol Diagn Ther 21(2): 137-152 ↩︎
- Anwar, W. A., M. Khyatti and K. Hemminki (2014). “Consanguinity and genetic diseases in North Africa and immigrants to Europe.” Eur J Public Health 24 Suppl 1: 57-63 ↩︎
- Hu, H., K. Kahrizi, L. Musante, Z. Fattahi, R. Herwig, M. Hosseini, C. Oppitz, S. S. Abedini, V. Suckow, F. Larti, M. Beheshtian, B. Lipkowitz, T. Akhtarkhavari, S. Mehvari, S. Otto, M. Mohseni, S. Arzhangi, P. Jamali, F. Mojahedi, M. Taghdiri, E. Papari, M. J. Soltani Banavandi, S. Akbari, S. H. Tonekaboni, H. Dehghani, M. R. Ebrahimpour, I. Bader, B. Davarnia, M. Cohen, H. Khodaei, B. Albrecht, S. Azimi, B. Zirn, M. Bastami, D. Wieczorek, G. Bahrami, K. Keleman, L. N. Vahid, A. Tzschach, J. Gärtner, G. Gillessen-Kaesbach, J. R. Varaghchi, B. Timmermann, F. Pourfatemi, A. Jankhah, W. Chen, P. Nikuei, V. M. Kalscheuer, M. Oladnabi, T. F. Wienker, H.-H. Ropers and H. Najmabadi (2019). “Genetics of intellectual disability in consanguineous families.” Molecular Psychiatry 24(7): 1027-1039. ↩︎
- Crawford, P. J., M. Aldred and A. Bloch-Zupan (2007). “Amelogenesis imperfecta.” Orphanet J Rare Dis 2: 17 ↩︎
- Tasic, V. and Z. Gucev (2015). “Nephrolithiasis and Nephrocalcinosis in Children – Metabolic and Genetic Factors.” Pediatr Endocrinol Rev 13(1): 468-476 ↩︎
- Shieh, J. T., A. H. Bittles and L. Hudgins (2012). “Consanguinity and the risk of congenital heart disease.” Am J Med Genet A 158a(5): 1236-1241 ↩︎
- Girotto, G., M. Mezzavilla, K. Abdulhadi, D. Vuckovic, D. Vozzi, M. Khalifa Alkowari, P. Gasparini and R. Badii (2014). “Consanguinity and hereditary hearing loss in Qatar.” Hum Hered 77(1-4): 175-182 ↩︎
- Bashamboo, A. and K. McElreavey (2014). “Consanguinity and disorders of sex development.” Hum Hered 77(1-4): 108-117 ↩︎
- Akram, Z., P. Ahmed, S. Kajigaya, T. M. Satti, H. S. Satti, Q. U. N. Chaudhary, F. Gutierrez-Rodrigues, P. F. Ibanez, X. Feng, S. K. Mahmood, T. Ghafoor, N. Shahbaz, M. A. Khan and A. Sultan (2019). “Epidemiological, clinical and genetic characterization of aplastic anemia patients in Pakistan.” Ann Hematol 98(2): 301-312 ↩︎
- Aburawi, E. H., H. E. Aburawi, K. M. Bagnall and Z. A. Bhuiyan (2015). “Molecular insight into heart development and congenital heart disease: An update review from the Arab countries.” Trends Cardiovasc Med 25(4): 291-301 ↩︎
- Zhao, C. Y. and D. F. Murrell (2016). “Blistering diseases in neonates.” Curr Opin Pediatr 28(4): 500-506 ↩︎
- Sefsafi, Z., B. E. Hasbaoui, A. Kili, A. Agadr and M. Khattab (2018). “Macrophage activation syndrome associated with griscelli syndrome type 2: case report and review of literature.” Pan Afr Med J 29: 75 ↩︎
- Sefsafi, Z., B. E. Hasbaoui, A. Kili, A. Agadr and M. Khattab (2018). “Macrophage activation syndrome associated with griscelli syndrome type 2: case report and review of literature.” Pan Afr Med J 29: 75 ↩︎
- Bhasin, P. and S. Kapoor (2015). “Impact of consanguinity on cardio-metabolic health and other diseases: findings from an Afro-Indian tribal community.” J Community Genet 6(2): 129-135 ↩︎
- Černý, J., Consanguineous Marriages in Pharaonic Egypt. The Journal of Egyptian Archaeology, 1954. 40: p. 23-29. ↩︎
- Thompson, W.E., The Marriage of First Cousins in Athenian Society. Phoenix, 1967. 21(4): p. 273-282. ↩︎
- আদিপুস্তক ২০/১২ ↩︎
- আদিপুস্তক ১৯/৩০৩৮ ↩︎
- আল বিদায়া ওয়ান নিহায়া, ইসলামিক ফাউন্ডেশন, প্রথম খণ্ড, পৃষ্ঠা ২১৭ ↩︎
- al-Bidayah wa al-Nihayah 6/352 by ibn Kathir ↩︎
- Ruling on marrying cousins ↩︎
- Bittles, A. H. and M. L. Black (2010). “Evolution in health and medicine Sackler colloquium: Consanguinity, human evolution, and complex diseases.” Proc Natl Acad Sci U S A 107 Suppl 1: 1779-1786. ↩︎
- Tadmouri, G. O., P. Nair, T. Obeid, M. T. Al Ali, N. Al Khaja and H. A. Hamamy (2009). “Consanguinity and reproductive health among Arabs.” Reprod Health 6: 17. ↩︎
- Fareed, M. and M. Afzal (2014). “Estimating the inbreeding depression on cognitive behavior: a population based study of child cohort.” PLoS One 9(10): e109585. ↩︎
- Fareed, M. and M. Afzal (2014). “Evidence of inbreeding depression on height, weight, and body mass index: a population-based child cohort study.” Am J Hum Biol 26(6): 784-795. ↩︎
- Bittles, A.H., et al., Does inbreeding lead to decreased human fertility? Ann Hum Biol, 2002. 29(2): p. 111-30. ↩︎
- Bener, A. and K.A. Alali, Consanguineous marriage in a newly developed country: the Qatari population. J Biosoc Sci, 2006. 38(2): p. 239-46. ↩︎
- Mokhtar, M. M. and M. M. Abdel-Fattah (2001). “Consanguinity and advanced maternal age as risk factors for reproductive losses in Alexandria, Egypt.” Eur J Epidemiol 17(6): 559-565. ↩︎
- Bener, A., Y. Abdulrazzaq and A. Dawodu (1996). “Sociodemographic risk factors associated with low birthweight in United Arab Emirates.” Journal of biosocial science 28: 339-346. ↩︎
- Al-Awadi, S. A., M. A. Moussa, K. K. Naguib, T. I. Farag, A. S. Teebi, M. el-Khalifa and L. el-Dossary (1985). “Consanguinity among the Kuwaiti population.” Clin Genet 27(5): 483-486. ↩︎
- Hijazi, Z. and M. Z. Haider (2001). “Influence of consanguinity and IgE receptor genotypes on clinical manifestations of asthma in Kuwaiti children.” Journal of Tropical Pediatrics 47(1): 13-16. ↩︎
- el-Hazmi, M. A., A. R. al-Swailem, A. S. Warsy, A. M. al-Swailem, R. Sulaimani and A. A. al-Meshari (1995). “Consanguinity among the Saudi Arabian population.” J Med Genet 32(8): 623-626. ↩︎
- Jurdi, R. and P. Saxena (2003). “The prevalence and correlates of consanguineous marriages in Yemen: Similarities and contrasts with other Arab countries.” Journal of biosocial science 35: 1-13. ↩︎
- Gunaid, A. and N. Hummad (2004). “Consanguineous marriage in the capital city Sana’a, Yemen.” Journal of biosocial science 36: 111-121. ↩︎
- Rajab, A., Q. Al Salmi, J. Jaffer, A. J. Mohammed and M. A. Patton (2014). “Congenital and genetic disorders in the Sultanate of Oman. First attempt to assess healthcare needs.” J Community Genet 5(3): 283-289. ↩︎
- Joseph, S. and P. M. Mathew (2005). “Effects of Inbreeding in the Mudugar and Irular Tribal Populations in Kerala.” Journal of Human Ecology 17(4): 247-250. ↩︎
- Joseph, S. and P. M. Mathew (2005). “Effects of Inbreeding in the Mudugar and Irular Tribal Populations in Kerala.” Journal of Human Ecology 17(4): 247-250. ↩︎
- Bittles, A. H. (2002). “Endogamy, consanguinity and community genetics.” J Genet 81(3): 91-98 ↩︎
- Anwar, S., J. Taslem Mourosi, Y. Arafat and M. J. Hosen (2020). “Genetic and reproductive consequences of consanguineous marriage in Bangladesh.” PLOS ONE 15(11): e0241610 ↩︎
- Bener, A., H. R. El Ayoubi, L. Chouchane, A. I. Ali, A. Al-Kubaisi, H. Al-Sulaiti and A. S. Teebi (2009). “Impact of consanguinity on cancer in a highly endogamous population.” Asian Pac J Cancer Prev 10(1): 35-40. ↩︎
- Thomsen, H., B. Chen, G. Figlioli, R. Elisei, C. Romei, M. Cipollini, A. Cristaudo, F. Bambi, P. Hoffmann, S. Herms, S. Landi, K. Hemminki, F. Gemignani and A. Försti (2016). “Runs of homozygosity and inbreeding in thyroid cancer.” BMC Cancer 16(1): 227. ↩︎
- Fareed, M. and M. Afzal (2016). “Increased cardiovascular risks associated with familial inbreeding: a population-based study of adolescent cohort.” Ann Epidemiol 26(4): 283-292. ↩︎
- Badaruddoza and M. Afzal (1993). “Inbreeding depression and intelligence quotient among north Indian children.” Behav Genet 23(4): 343-347. ↩︎
- Fareed, M. and M. Afzal (2014). “Estimating the inbreeding depression on cognitive behavior: a population based study of child cohort.” PLoS One 9(10): e109585. ↩︎
- Smith, R. J., J. F. Bale, Jr. and K. R. White (2005). “Sensorineural hearing loss in children.” Lancet 365(9462): 879-890. ↩︎
- Bakri, F. G., C. Martel, N. Khuri-Bulos, A. Mahafzah, M. S. El-Khateeb, A. M. Al-Wahadneh, W. A. Hayajneh, H. A. Hamamy, E. Maquet, M. Molin and M. J. Stasia (2009). “First report of clinical, functional, and molecular investigation of chronic granulomatous disease in nine Jordanian families.” J Clin Immunol 29(2): 215-230. ↩︎
- Malphettes, M., L. Gérard, M. Carmagnat, G. Mouillot, N. Vince, D. Boutboul, A. Bérezné, R. Nove-Josserand, V. Lemoing, L. Tetu, J. F. Viallard, B. Bonnotte, M. Pavic, J. Haroche, C. Larroche, J. C. Brouet, J. P. Fermand, C. Rabian, C. Fieschi and E. Oksenhendler (2009). “Late-onset combined immune deficiency: a subset of common variable immunodeficiency with severe T cell defect.” Clin Infect Dis 49(9): 1329-1338. ↩︎
- Bakri, F. G., C. Martel, N. Khuri-Bulos, A. Mahafzah, M. S. El-Khateeb, A. M. Al-Wahadneh, W. A. Hayajneh, H. A. Hamamy, E. Maquet, M. Molin and M. J. Stasia (2009). “First report of clinical, functional, and molecular investigation of chronic granulomatous disease in nine Jordanian families.” J Clin Immunol 29(2): 215-230. ↩︎
- Bassili, A., S. A. Mokhtar, N. I. Dabous, S. R. Zaher, M. M. Mokhtar and A. Zaki (2000). “Risk factors for congenital heart diseases in Alexandria, Egypt.” Eur J Epidemiol 16(9): 805-814. ↩︎
- Badaruddoza, M. Afzal and Akhtaruzzaman (1994). “Inbreeding and congenital heart diseases in a north Indian population.” Clin Genet 45(6): 288-291. ↩︎
- Ramegowda, S. and N. B. Ramachandra (2006). “Parental consanguinity increases congenital heart diseases in South India.” Ann Hum Biol 33(5-6): 519-528. ↩︎
- Roodpeyma, S., Z. Kamali, F. Afshar and S. Naraghi (2002). “Risk factors in congenital heart disease.” Clin Pediatr (Phila) 41(9): 653-658. ↩︎
- Gev, D., N. Roguin and E. Freundlich (1986). “Consanguinity and congenital heart disease in the rural Arab population in northern Israel.” Hum Hered 36(4): 213-217. ↩︎
- Nabulsi, M. M., H. Tamim, M. Sabbagh, M. Y. Obeid, K. A. Yunis and F. F. Bitar (2003). “Parental consanguinity and congenital heart malformations in a developing country.” Am J Med Genet A 116a(4): 342-347. ↩︎
- Yunis, K., G. Mumtaz, F. Bitar, F. Chamseddine, M. Kassar, J. Rashkidi, G. Makhoul and H. Tamim (2006). “Consanguineous marriage and congenital heart defects: a case-control study in the neonatal period.” Am J Med Genet A 140(14): 1524-1530. ↩︎
- Chehab, G., P. Chedid, Z. Saliba and P. Bouvagnet (2007). “Congenital cardiac disease and inbreeding: specific defects escape higher risk due to parental consanguinity.” Cardiol Young 17(4): 414-422. ↩︎
- El Mouzan, M. I., A. A. Al Salloum, A. S. Al Herbish, M. M. Qurachi and A. A. Al Omar (2008). “Consanguinity and major genetic disorders in Saudi children: a community-based cross-sectional study.” Ann Saudi Med 28(3): 169-173. ↩︎
- Becker, S. M., Z. Al Halees, C. Molina and R. M. Paterson (2001). “Consanguinity and congenital heart disease in Saudi Arabia.” Am J Med Genet 99(1): 8-13. ↩︎
- Naz, S., S. Ali, S. A. Riazuddin, T. Farooq, N. H. Butt, A. U. Zafar, S. N. Khan, T. Husnain, I. M. Macdonald, P. A. Sieving, J. F. Hejtmancik and S. Riazuddin (2011). “Mutations in RLBP1 associated with fundus albipunctatus in consanguineous Pakistani families.” The British journal of ophthalmology 95(7): 1019-1024. ↩︎
- Shawky, R. M., N. S. Elsayed, D. S. Ibrahim and N. S. Seifeldin (2012). “Profile of genetic disorders prevalent in northeast region of Cairo, Egypt.” Egyptian Journal of Medical Human Genetics 13(1): 45-62.
Shieh, J. T., A. H. Bittles and L. Hudgins (2012). “Consanguinity and the risk of congenital heart disease.” Am J Med Genet A 158a(5): 1236-1241. ↩︎ - Baccetti, B., S. Capitani, G. Collodel, G. Di Cairano, L. Gambera, E. Moretti and P. Piomboni (2001). “Genetic sperm defects and consanguinity.” Hum Reprod 16(7): 1365-1371. ↩︎
- Chkioua, L., S. Khedhiri, H. Turkia, H. Chahed, S. Ferchichi, M. Dridi, S. Laradi and A. Miled (2011). “Hurler disease (Mucopolysaccharidosis type IH): clinical features and consanguinity in Tunisian population.” Diagnostic pathology 6: 113. ↩︎
- Lyons, E. J., A. J. Frodsham, L. Zhang, A. V. Hill and W. Amos (2009). “Consanguinity and susceptibility to infectious diseases in humans.” Biol Lett 5(4): 574-576. ↩︎
- Segal, B. H., T. L. Leto, J. I. Gallin, H. L. Malech and S. M. Holland (2000). “Genetic, biochemical, and clinical features of chronic granulomatous disease.” Medicine (Baltimore) 79(3): 170-200. ↩︎
- Rudan, I., T. Skarić-Jurić, N. Smolej-Narancić, B. Janićijević, D. Rudan, I. M. Klarić, L. Barać, M. Pericić, R. Galić, M. Lethbridge-Cejku and P. Rudan (2004). “Inbreeding and susceptibility to osteoporosis in Croatian island isolates.” Coll Antropol 28(2): 585-601. ↩︎
- Galal, N., J. Boutros, A. Marsafy, X. F. Kong, J. Feinberg, J. L. Casanova, S. Boisson-Dupuis and J. Bustamante (2012). “Mendelian susceptibility to mycobacterial disease in egyptian children.” Mediterr J Hematol Infect Dis 4(1): e2012033. ↩︎
- Zlotogora, J. and S. A. Shalev (2010). “The consequences of consanguinity on the rates of malformations and major medical conditions at birth and in early childhood in inbred populations.” Am J Med Genet A 152a(8): 2023-2028. ↩︎
- Bromiker, R., M. Glam-Baruch, R. Gofin, C. Hammerman and Y. Amitai (2004). “Association of parental consanguinity with congenital malformations among Arab newborns in Jerusalem.” Clin Genet 66(1): 63-66. ↩︎
- Jaber, L., P. Merlob, X. Bu, J. I. Rotter and M. Shohat (1992). “Marked parental consanguinity as a cause for increased major malformations in an Israeli Arab community.” Am J Med Genet 44(1): 1-6. ↩︎
- Demirel, S., N. Kaplanoğlu, A. Acar, S. Bodur and F. Paydak (1997). “The frequency of consanguinity in Konya, Turkey, and its medical effects.” Genet Couns 8(4): 295-301. ↩︎
- Demirel, S., N. Kaplanoğlu, A. Acar, S. Bodur and F. Paydak (1997). “The frequency of consanguinity in Konya, Turkey, and its medical effects.” Genet Couns 8(4): 295-301. ↩︎
- Kerkeni, E., K. Monastiri, B. Saket, M. N. Guediche and H. Ben Cheikh (2007). “Interplay of socio-economic factors, consanguinity, fertility, and offspring mortality in Monastir, Tunisia.” Croat Med J 48(5): 701-707. ↩︎
- Grant, J. C. and A. H. Bittles (1997). “The comparative role of consanguinity in infant and childhood mortality in Pakistan.” Ann Hum Genet 61(Pt 2): 143-149. ↩︎
- Berends, A. L., E. A. Steegers, A. Isaacs, Y. S. Aulchenko, F. Liu, C. J. de Groot, B. A. Oostra and C. M. van Duijn (2008). “Familial aggregation of preeclampsia and intrauterine growth restriction in a genetically isolated population in The Netherlands.” Eur J Hum Genet 16(12): 1437-1442. ↩︎
- Anvar, Z., B. Namavar-Jahromi and M. Saadat (2011). “Association between consanguineous marriages and risk of pre-eclampsia.” Arch Gynecol Obstet 283 Suppl 1: 5-7. ↩︎
- McLaughlin, R. L., K. P. Kenna, A. Vajda, M. Heverin, S. Byrne, C. G. Donaghy, S. Cronin, D. G. Bradley and O. Hardiman (2015). “Homozygosity mapping in an Irish ALS case–control cohort describes local demographic phenomena and points towards potential recessive risk loci.” Genomics 105(4): 237-241. ↩︎
- Ibrahim, S., T. Moatter and A. F. Saleem (2012). “Spinal muscular atrophy: clinical spectrum and genetic mutations in Pakistani children.” Neurol India 60(3): 294-298. ↩︎
- Karnib, H. H., A. G. Gharavi, G. Aftimos, Z. Mahfoud, R. Saad, E. Gemayel, B. Masri, S. Assaad, K. F. Badr and F. N. Ziyadeh (2010). “A 5-year survey of biopsy proven kidney diseases in Lebanon: significant variation in prevalence of primary glomerular diseases by age, population structure and consanguinity.” Nephrol Dial Transplant 25(12): 3962-3969. ↩︎
- Sridhara Rama Rao, B. S. and H. S. Narayanan (1976). “Consanguinity and familial mental retardation.” J Med Genet 13(1): 27-29. ↩︎
- Kaur, M. and P. P. Balgir (2005). “APOE2 and consanguinity: a risky combination for Alzheimer’s disease.” J Alzheimers Dis 8(3): 293-297. ↩︎
- Ben Arab, S., M. Hmani, F. Denoyelle, A. Boulila-Elgaied, S. Chardenoux, S. Hachicha, C. Petit and H. Ayadi (2000). “Mutations of GJB2 in three geographic isolates from northern Tunisia: evidence for genetic heterogeneity within isolates.” Clin Genet 57(6): 439-443. ↩︎
- Siemiatkowska, A. M., K. Arimadyo, L. M. Moruz, G. D. Astuti, M. de Castro-Miro, M. N. Zonneveld, T. M. Strom, I. J. de Wijs, L. H. Hoefsloot, S. M. Faradz, F. P. Cremers, A. I. den Hollander and R. W. Collin (2011). “Molecular genetic analysis of retinitis pigmentosa in Indonesia using genome-wide homozygosity mapping.” Mol Vis 17: 3013-3024. ↩︎


very nice and it has all details information thanks
Thank you so much. Please let us know if you have any question…
মুহম্মদ সাঃ নিজ কন্যা ফাতেমা কে ঠোটে গলায় চুম্বন করতেন,পিছন থেকে জড়িয়ে ধরতেন তার রেফারেন্স চাই।
Good writing